ISSN: 2007-7033 | Núm. 64 | e1666 | Sección abierta: artículos de investigación
Expresiones para evaluar cuantitativamente
el aprendizaje creativo en la informática
Expressions for quantitatively assessing creative
learning in computer science
Walfredo González Hernández*
Marcelina Caridad Moreno García**
Maritza Peterson Roldán***
Este artículo propone una expresión matemática para evaluar cuantitativamente el aprendizaje creativo en la formación de profesionales en informática. Se realizó un análisis documental de publicaciones sobre creatividad y su medición, y se encontraron resultados limitados. A partir de ello, se establece una fórmula para evaluar dicho aprendizaje, adaptable a diferentes sistemas de evaluación según el país. La validación inicial se llevó a cabo aplicando la expresión en un estudio de caso en la carrera de Ingeniería Informática de la Universidad de Matanzas, en Cuba. Los resultados confirman que la expresión permite cuantificar el aprendizaje creativo tanto con un único método como con varios.
Palabras clave:
aprendizaje creativo en informática, evaluación cuantitativa
The objective of this article is to develop an expression that can be used to quantitatively assess creative learning in computer science during the training of professionals in this field. A documentary analysis of publications related to creativity and its measurement was carried out, which yielded inconclusive results in this regard. Consequently, an expression is devised for the evaluation of this learning, along with another expression for the scaling of said evaluation in accordance with the prevailing system in each country where it is measured. A preliminary validation was conducted by applying mathematical techniques to a case study that assessed creative learning in computer science within the context of the Computer Engineering course at the University of Matanzas. The findings indicated that the expression effectively quantified creative learning in computer science when a single method was employed and when multiple methods were utilized.
Keywords:
creative learning in computer science, quantitatively assess
Recibido: 8 de marzo de 2024 | Aceptado para su publicación: 6 de noviembre de 2024 |
Publicado: 8 de enero de 2025
Cómo citar: González Hernández, W., Moreno García, M. C. y Petersson Roldán, M. (2025). Expresiones para evaluar cuantitativamente el aprendizaje creativo en la informática. Sinéctica, Revista Electrónica de Educación, (64), e1666. https://doi.org/10.31391/AZGV5520
* Doctor en Ciencias Pedagógicas. Investigador titular y profesor titular de Ingeniería y Gestión de Software. Profesor de Informática del Departamento Educación Laboral e Informática de la Universidad Central “Marta Abreu” de las Villas, Cuba. Líneas de Investigación: creatividad e informática, aprendizaje y tecnologías en la educación. Correo electrónico: wghernandez@uclv.cu/ https://orcid.org/0000-0001-8974-3721
** Doctora en Ciencias Pedagógicas. Profesora titular de Análisis Matemático. Profesora de Matemática en la Universidad de Matanzas, Cuba. Líneas de Investigación: creatividad y matemática. Correo electrónico: marcelina.moreno@umcc.cu/https://orcid.org/0000-0003-0731-4232
*** Doctora en Ciencias Medioambientales. Profesora titular de Análisis Matemático. Profesora de Matemática en la Universidad de Ciencias Médicas de Matanzas, Cuba. Líneas de investigación: aprendizaje y matemática, métodos multivariados. Correo: maritza.petersson@umcc.cu/https://orcid.org/0000-0002-0453-3571

Introducción
El estudio de la creatividad ha sido un tema recurrente en diversas disciplinas científicas. Se han desarrollado múltiples enfoques para su estudio, los cuales se clasifican en cinco categorías principales: proceso, producto, persona, ambiente y enfoques mixtos (Saleem et al., 2024). Estas aproximaciones han estado influenciadas por distintos planteamientos de la psicología y la filosofía, entre los cuales destaca el enfoque histórico-cultural, el cual surge de la aplicación de la dialéctica materialista al estudio de los procesos psíquicos (Chen, 2024).
El enfoque histórico-cultural de Vygotsky se ha desarrollado en tres vertientes fundamentales: la teoría de la actividad, la teoría de la personalidad y, en los últimos diez años, la teoría de la subjetividad (González, 2019). La primera vertiente adopta la categoría de reflejo del marxismo-leninismo, aunque recibe críticas por la excesiva objetivación de los procesos psíquicos. La segunda vertiente representa una continuidad del periodo más productivo de la obra de Vygotsky, pero no logra trascenderla. Por su parte, la tercera vertiente abre nuevos espacios de análisis teórico con las categorías de sentido subjetivo y configuración subjetiva (González, 2019).
Estas categorías permiten describir el desarrollo humano centrándose en la individualidad y su interacción con la sociedad, además de explicar dicho desarrollo desde una perspectiva histórica. La teoría de la subjetividad analiza la creatividad como una configuración que “... emerge de procesos y producciones subjetivas singulares del individuo, relacionadas, al mismo tiempo, con su contexto actual y trayectoria de vida” (De Almeida y Mitjáns, 2020, p. 97). Esta configuración se alcanza cuando el individuo es sujeto activo de su contexto social e histórico, lo que otorga a la creatividad un carácter altamente individualizado. Sin embargo, no todo contexto sociohistórico favorece el desarrollo de la creatividad.
Torres y Mitjáns (2020) plantean que en el aprendizaje creativo “… participan los sentidos subjetivos de la historia de vida del individuo y los sentidos subjetivos que el individuo produce en el contexto en el que su acción tiene lugar por la forma en que lo subjetiviza. Este contexto se caracteriza, entre otros aspectos, por su subjetividad social” (p. 129). En un artículo anterior, Mitjáns (2013) lo define como
… una forma de aprender que se diferencia de las formas de aprendizaje comunes en el medio escolar, y se caracteriza por el tipo de producción que el aprendiz hace y por los procesos subjetivos en ella implicados […]. Este aprendizaje tiene diferentes formas de expresión y en él participan un conjunto de recursos subjetivos y se expresa en la configuración, como mínimo de tres procesos: la personalización de la información, la confrontación con lo dado y la producción de ideas propias y nuevas (p. 317).
En consonancia con esta definición de aprendizaje creativo, se asume la propuesta de González et al. (2022a) que describe el aprendizaje creativo de la informática como “… la configuración subjetiva, social o individual, de tres procesos principales: la personalización de la información, la confrontación con lo dado y la producción de ideas propias y nuevas resultantes de la emergencia de sentidos subjetivos asociados al aprender informática en un contexto de proyecto” (p. 130). En ella, los autores derivan tres dimensiones y 15 indicadores repartidos de manera desigual entre las dimensiones. Esta definición resume las características del aprendizaje creativo de la informática y lo sitúa en el contexto fundamental de la creación informática: el proyecto. Al mismo tiempo, establece las condiciones para que transcurra el aprendizaje creativo de las tecnologías informáticas. Permite a los investigadores contar con una definición y un sistema de dimensiones e indicadores para evaluar su desarrollo.
En diversos estudios sobre la evaluación de la creatividad y el aprendizaje creativo, así como sobre los niveles para su desarrollo y sus aplicaciones a otras ciencias, estos factores han sido esenciales, aunque no han sido completamente definidos. Por ello, se trata de uno de los temas más polémicos en la actualidad. Algunos autores, como Katz et al. (2022), han propuesto una escala desarrollada para este propósito, pero carece de una expresión matemática formalmente definida. Por su parte, Romo et al. (2016) propone un test de creatividad infantil basado en la manipulación de imágenes y se opone a las investigaciones que utilizan este tipo de test para medir el pensamiento divergente como herramienta de diagnóstico.
En las investigaciones desarrolladas por los autores de la teoría del aprendizaje creativo como expresión de la creatividad en el aprendizaje (Díaz y Martínez, 2013) no se encuentra una descripción de los niveles de desarrollo ni una cuantificación de este proceso intrínseco de la personalidad humana. Fürst y Grin (2018) proponen una evaluación de la creatividad cotidiana; sin embargo, no presentan una fórmula que permita cuantificar la creatividad de una persona. Por su parte, Kenett et al. (2020) propone una forma de representación del conocimiento para evaluar la creatividad a partir de imágenes del cerebro, las cuales se introducen en una base de datos y se comparan con otras. Este método, aunque innovador, es costoso y está fuera del alcance de muchos investigadores, lo cual dificulta su implementación a nivel global.
El aprendizaje de la informática es hoy una prioridad para todos los países, dada la importancia de esta ciencia, y que sus profesionales desarrollan la creatividad resulta estratégico. No obstante, en la literatura revisada no hemos observado expresiones matemáticas que permitan evaluar cuantitativamente el aprendizaje creativo en el campo de la informática. Por ello, surge la siguiente pregunta que guiará esta investigación: ¿cómo evaluar cuantitativamente el aprendizaje creativo en informática durante la formación de sus profesionales?
Para responder a esta pregunta, el objetivo de este artículo es elaborar una expresión que permita cuantificar el aprendizaje creativo en el área de la informática durante la formación de sus profesionales.
Método
El enfoque propuesto es mixto, ya que incluye un análisis cualitativo de las formas de evaluación de la creatividad y una demostración cuantitativa de los resultados obtenidos. La investigación es de naturaleza exploratoria, dado que, según Hernández et al. (2014), “… la revisión de la literatura revelada que tan sólo hay guías no investigadas e ideas vagamente relacionadas con el problema de estudio” (p. 91).
La exploración se llevó a cabo mediante dos métodos principales:
La figura 1 ilustra las acciones que guiaron el desarrollo del estudio, basado en la propuesta metodológica de Peña (2022).

Figura 1. Acciones que guiaron el proceder en el análisis documental.
En el análisis documental, la técnica de recolección de datos consistió en la selección de las variables de evaluación, expresión y creatividad (en inglés). El objetivo de la búsqueda fue determinar una expresión que permitiera medir cuantitativamente la creatividad en diversas dimensiones o indicadores, utilizando una escala coherente con las aplicadas por otros investigadores.
Los términos de búsqueda empleados fueron: (evaluate OR metric) AND creative, aplicados en las bases de datos Scopus y Web of Science. Estos criterios arrojaron más de cien mil documentos como resultado. Sin embargo, seleccionamos 590 artículos de acceso abierto, ya que estos son accesibles para todos los investigadores y permiten contrastar los resultados obtenidos. Los documentos seleccionados fueron organizados y almacenados en una biblioteca digital personalizada, gestionada con el software EndNote 21 .
Una vez descargados los artículos, estos fueron clasificados en dos categorías: artículos con expresiones matemáticas definidas explícitamente y artículos sin expresiones matemáticas claramente definidas. De los 590 documentos iniciales, se descartaron 576 que no cumplían con el criterio de incluir una expresión explícita para medir cuantitativamente la creatividad, ya que no satisfacían el objetivo de la búsqueda. Se seleccionaron 14 artículos que contenían expresiones explícitas para evaluar la creatividad o escalas relacionadas con ella.
De los 14 artículos, 11 (equivalentes al 78%) fueron publicados a partir de 2021, lo que garantiza la actualidad de la información. Además, se accedió a los documentos referenciados en los textos seleccionados, cuando estos contenían expresiones o métodos adicionales para evaluar la creatividad.
En los documentos recuperados a partir de la búsqueda realizada, se identificaron diversas metodologías para medir la creatividad. La tabla 1 presenta un resumen de los autores seleccionados y sus respectivas propuestas para la medición de la creatividad.
Tabla 1. Revisión de los autores sobre evaluación de la creatividad
|
Autores |
Expresión |
Escala |
Método |
Sistema de métodos |
Instrumento |
Indicadores |
|
Görlich (2023) |
X |
X |
X |
|||
|
Vasylenko et al. (2022) |
X |
X |
X |
|||
|
Saenna and Phusee-orn (2022) |
X |
X |
||||
|
Roth et al. (2022) |
X |
X |
X |
X |
||
|
Pei et al. (2022) |
X |
X |
||||
|
Katz et al. (2022) |
X |
X |
||||
|
Havârneanu (2022) |
X |
|||||
|
Apaydin y Güven (2022) |
X |
X |
||||
|
Furtwengler (2021) |
X |
|||||
|
Leutner et al. (2017) |
X |
X |
||||
|
Hsu-Chan et al. (2017) |
X |
X |
||||
|
Romo et al. (2016) |
X |
|||||
|
Chesnokova y Subbotsky (2014) |
X |
X |
||||
|
(Otta y Pozzia, 2010) |
X |
El segundo método utilizado es el estudio de caso, que, según Hernández et al. (2014), puede abordarse de diversas maneras. En esta investigación, asumimos un método no experimental dada la naturaleza de su aplicación y características específicas. La de un caso de estudio responde a la necesidad de validar inicialmente las expresiones propuestas en un entorno controlado, considerando la amplia cantidad de organizaciones en las que podrían aplicarse dichas expresiones (Yeh y Barrington, 2023). Este método permite una primera validación de uno o varios resultados que presentan características representativas de las situaciones observables en otros contextos.
La selección de los casos de estudio debe realizarse con especial cuidado, detallando su contexto para fundamentar la observancia de las características extrapolables a otros casos. Además, los métodos empleados en los estudios de caso deben ser replicables para garantizar su aplicación en situaciones similares (Hardwicke et al., 2021). Es importante destacar que pueden emplearse tanto métodos cualitativos como cuantitativos en su análisis (Kirby et al., 2021).
En este caso, aplicamos la expresión propuesta para evaluar el aprendizaje creativo en el ámbito de la informática, tomando como referencia la Universidad de Matanzas. Para ello, conceptualizamos la variable de interés y obtuvimos los valores necesarios para su medición.
Resultados
Los resultados provienen de las investigaciones identificadas en la búsqueda inicial, que contienen definiciones explícitas sobre la medición cuantitativa de la creatividad, como se presenta en la tabla 1.
Uno de estos trabajos, el de Romo et al. (2016), propone un test de creatividad infantil como alternativa al predominio de pruebas basadas en el pensamiento divergente. Sin embargo, este enfoque no proporciona una expresión cuantitativa que permita diferenciar a cada sujeto evaluado.
La prueba propuesta por dichos autores se basa en la manipulación de imágenes partiendo de la premisa de que, en la infancia, “… la prueba atiende a la evaluación del potencial creador y utiliza como vía de expresión de tales potencialidades el lenguaje universal del dibujo” (Romo et al., 2016, p. 96). A pesar de su enfoque innovador, la manipulación de imágenes no puede generalizarse para todos los niños, ya que depende de las habilidades individuales desarrolladas para esta actividad. Además, el estudio no establece relaciones cuantitativas observables entre las dimensiones propuestas, lo que limita su aplicabilidad para evaluaciones comparativas o mediciones más precisas.
Por su parte, Hsu-Chan et al. (2017) proponen un sistema de indicadores para evaluar la creatividad de manera cualitativa. Este estudio emplea diversos métodos y análisis estadísticos para desarrollar un cuestionario que mide la educación creativa en función de las dimensiones consideradas. Sin embargo, no explica cómo utilizar el cuestionario ni proporciona una expresión matemática que relacione las cinco dimensiones evaluadas mediante la escala de Likert.
En el trabajo de Katz et al. (2022), se definen indicadores para evaluar la creatividad, pero estos no se relacionan matemáticamente, lo que limita la posibilidad de establecer conexiones cuantitativas entre ellos.
Finalmente, Vasylenko et al. (2022) propone la aplicación de varios métodos para evaluar la creatividad, pero no se detallan las interrelaciones entre ellos ni su aplicación de manera integrada. Tampoco se identifican indicadores comunes que permitan aplicar los instrumentos de manera conjunta y obtener una visión más integral de la creatividad. Esta falta de integración dificulta la extracción de información que pueda complementar distintas perspectivas sobre el tema.
Görlich (2023) propone una escala de evaluación para el proceso creativo basada en 24 ítems distribuidos en ocho fases del proceso creativo. Aunque esta escala es detallada, su diseño está restringido a los ítems definidos, sin ofrecer la posibilidad de incluir nuevos factores. Esto limita su extensibilidad y operatividad en casos en los que sea necesario agregar elementos adicionales. Tampoco se proporciona una expresión matemática que permita relacionar las propiedades de la creatividad o derivar un valor único que la caracterice cuantitativamente.
Por otro lado, las otras investigaciones citadas en la tabla 1 hacen referencia a instrumentos como el test de Torrance (Said-Metwaly et al., 2021) o herramientas desarrolladas por los propios investigadores. Sin embargo, estos trabajos no presentan metodologías que midan la creatividad de manera general y aplicable a diferentes situaciones, dimensiones e indicadores de forma cuantitativa.
Asimismo, muchas de las escalas propuestas están orientadas a medir aspectos puntuales de la creatividad, pero no aclaran las similitudes, diferencias o correspondencias entre los sistemas de evaluación utilizados en distintos contextos educativos. Esto representa una limitación significativa, ya que la falta de uniformidad dificulta que los profesores interpreten y apliquen los resultados de la investigación en una escala comprensible y relevante para sus prácticas pedagógicas.
Discusión
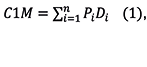
Evaluar el desarrollo del aprendizaje creativo en informática representa un desafío significativo para investigadores noveles. En este contexto, contar con medidas cuantitativas que permitan evaluar dicho aprendizaje en función de la relevancia de cada dimensión para la organización sería altamente beneficioso. La fórmula para determinar el nivel de creatividad evaluada desde un método (C1M) se presenta en la expresión:

donde: Di es la evaluación de la i-ésima dimensión y Pi el peso.
Para el cálculo de la dimensión, se usa la siguiente expresión:

donde: mi: total de indicadores de la dimensión i, tij: total de aspectos a evaluar para el indicador j
de la dimensión i, Iijk: evaluación dada al aspecto k del indicador j en la dimensión i.
Para determinar el peso relativo de cada dimensión, se recomienda emplear el método de comparaciones pareadas, aunque se clasifica dentro de los métodos de ponderación subjetivos (Martínez et al., 2018). Este método permite que los especialistas o expertos consultados expresen sus preferencias entre los criterios evaluados, y cuantifiquen la intensidad de dichas preferencias mediante la escala de valoración propuesta por Saaty (1987).
El cálculo de estos pesos se realizará utilizando una herramienta informática implementada para el proceso analítico jerárquico (PAJ): el AHP Online System (Almeida y Flores, 2010).
En primer lugar, es necesario identificar a los expertos que emitirán sus juicios sobre la importancia relativa de cada dimensión. Según la definición de Herrera et al. (2022), un experto es una “… persona que ha adquirido conocimiento y habilidades a través de los años, en un campo particular, y que se destaca por sus competencias para la comprensión y resolución de problemas” (p. 4).
Los criterios para seleccionar a los expertos fueron los siguientes:
La cantidad de expertos a consultar puede determinarse utilizando métodos multicriterios (Lao et al., 2016) o mediante técnicas difusas (Cruz, 2020). El método específico dependerá de los investigadores que utilicen la expresión.
Además, siempre que se empleen instrumentos, es fundamental evaluar su confiabilidad con métodos reconocidos en la literatura pertinente.
En la tabla 2 se presenta la propuesta de consulta a los expertos para determinar el peso relativo de las dimensiones. Los expertos deben completar las casillas en blanco según el orden establecido en la primera fila de la tabla, utilizando la escala de valoración mostrada en la figura 2.
Tabla 2. Consulta a los expertos
|
Si el criterio que está en la fila es más importante que el de la columna, se pone cuanto más importante según la escala. En caso de ser menos importante, se pone el recíproco del valor de la escala |
|||||
|
Dimensión1 |
Dimensión2 |
Dimensión3 |
……….. |
Dimensiónn |
|
|
Dimensión1 |
Valor |
||||
|
Dimensión2 |
Valor |
||||
|
Dimensión3 |
Valor |
||||
|
…… |
Valor |
||||
|
Dimensiónn |
Valor |
||||
Tabla 3. Escala de Saaty

Fuente: Penadés (2017).
Los resultados del criterio de expertos son agregados utilizando la media geométrica hasta llegar a un nuevo vector de prioridad consensuado.
Tabla 4. Ponderación de las dimensiones
|
Criterios |
Commentarios |
Pesos |
|
|
1 |
Dimensión1 |
Pesos1 |
|
|
2 |
Dimensión2 |
Pesos2 |
|
|
3 |
Dimensión3 |
Pesos3 |
|
|
……….. |
…………. |
………. |
|
|
n |
Dimensiónn |
Pesosn |
|
Una vez determinado los pesos en la expresión de evaluación de la creatividad, es necesario obtener la escala de medición y, para ello, se debe alcanzar el intervalo [VMínimo, VMáximo] . El valor máximo obtenido VMáximo es el valor que se obtiene de sustituir Iijk con el valor máximo que otorga el investigador para cada aspecto en la expresión (2), y VMínimo es el valor inicial de la escala, también otorgado por el investigador. Posteriormente, se utiliza la expresión de Medina et al. (2021) para establecer la equivalencia, aunque es necesario corregir los valores del máximo y mínimo en los intervalos calculados. En el método original, el máximo del intervalo anterior se incluye como el mínimo en el intervalo siguiente, lo que genera un solapamiento incorrecto. Este error puede corregirse al sumar un valor suficientemente pequeño al límite máximo del intervalo anterior, asegurando que sea superior a dicho límite, pero menor que el límite inferior del siguiente intervalo. Esta corrección garantiza la continuidad adecuada y evita redundancias en los valores de los intervalos.
La expresión para obtener este número pequeño es:
donde r es la cantidad de decimales que posee el valor máximo del intervalo anterior.
De tal manera que sea

Se calcula la distancia entre cada uno de los valores máximo y mínimo de cada intervalo siguiendo la expresión
donde NumInt es la cantidad de intervalos en la que se mide la variable.
Teniendo esta distancia, entonces se procede a calcular el valor máximo del intervalo 1
denominadoVMaxInter1 usando la siguiente expresión:

Una vez que se tiene este valor máximo, se obtiene el valor mínimo del segundo intervalo de la siguiente manera:

y se obtiene el valor máximo del segundo intervalo denominado: VMaxInter2 utilizando la siguiente expresión:

En el caso del máximo del segundo intervalo, no se suma la distancia al valor mínimo para evitar la suma progresiva y que en el último intervalo se refleje. De esta manera, se calcula el valor mínimo del intervalo n VMínimoIntern utilizando la expresión:
y el valor máximo sería el VMáximo.
De las expresiones obtenidas, se infiere que escalaindi es el vector que indica las escalas por el vector (ValMaxInter1, ValMaxInter2, ... ValMaxIntern), que contiene los valores máximos de cada intervalo. Por su parte, VMáximo es el valor máximo que tiene la ponderación de los indicadores del curso; TotalEscala es el valor máximo en la escala del país; valmxinte es el valor máximo de cada intervalo y valmxinte es el valor mínimo.
La variación realizada a la expresión propuesta permite definir con mayor precisión los límites de cada intervalo en la escala de evaluación. Además, considerando que los sistemas de evaluación cuantitativos en el ámbito internacional generalmente no superan dos cifras decimales, la suma del valor propuesto no introduce una diferencia significativa, facilitando la delimitación clara de los intervalos. Esto posibilita la evaluación de la creatividad informática de manera independiente a la escala de evaluación o a los criterios adoptados en diferentes países, homogeneizando la escala y haciéndola comprensible para cualquier evaluador.
La creatividad es reconocida en una amplia literatura como un concepto complejo y multidimensional (Peralta y Segura, 2023; Zada et al., 2023), que integra diversas aproximaciones para su estudio. Al ser una noción que abarca múltiples dimensiones e indicadores, su medición presenta un desafío considerable, ya que ningún instrumento único puede capturar todas sus facetas o ser completamente objetivo en su evaluación. Esta limitación constituye una arista aún inexplorada en la evaluación de la creatividad, dado que muchas investigaciones se han centrado en el uso de un único instrumento (Görlich, 2023; Vasylenko et al., 2022).
Por ejemplo, un estudiante podría considerarse creativo en una encuesta de autoevaluación; sin embargo, podría no ser percibido de la misma manera por sus compañeros, maestros o investigadores durante una observación directa. De igual forma, es posible que el estudiante se autoevalúe como creativo, pero no evidencie dicho comportamiento en sus acciones. Estas discrepancias resaltan la necesidad de integrar múltiples métodos para medir las distintas facetas de la creatividad y lograr una evaluación más objetiva.
La integración de métodos para evaluar la creatividad depende del concepto asumido, junto con sus dimensiones e indicadores. Por este motivo, cada investigación debe estructurar una configuración de métodos coherente con el enfoque conceptual adoptado, lo que dificulta la estandarización de un conjunto único de métodos aplicable a todas las investigaciones. En este sentido, cuando los criterios de medida sean evaluados por medio de cada instrumento considerado, los indicadores pueden calcularse utilizando la siguiente expresión:

donde Pj es el valor del peso de cada método cuya suma sea igual a 1, Cij es el valor del criterio de medida
y m es la cantidad de métodos aplicados.
En caso que haya criterios de medida que no sean aplicados en algún método, entonces se propone la siguiente expresión para la configuración:

donde: I es el número de criterios, Cijhm es la evaluación del criterio de medida del indicador que está en cada dimensión Mijh, es el número de métodos que miden el criterio i del indicador j de la dimensión h, Pm es el peso de cada método, porque cada uno de los métodos tendrá un peso diferente en dependencia del criterio de los expertos que será tomado en cuenta utilizando el panel para esos efectos para el caso de Ind. El peso asignado a cada método se calcula de la misma forma que en las dimensiones, garantizando que la suma total de los pesos sea igual a 1. Este procedimiento permite una distribución equilibrada que refleja la importancia relativa de cada método en la evaluación. A continuación, se presenta la tabla 5, en la que se ilustran los pesos correspondientes a cada método.
Tabla 5. Peso de los métodos
|
Criterio |
Comentarios |
Peso |
|
|
1 |
Método1 |
Comentarios sobre el método |
Peso1 |
|
2 |
Método2 |
Comentarios sobre el método |
Peso2 |
|
3 |
Método3 |
Comentarios sobre el método |
Peso3 |
|
……….. |
…………. |
………. |
|
|
n |
Métodon |
Comentarios sobre el método |
Peson |
En la evaluación de la dimensión, la expresión sería:

donde Jn sería la cantidad de indicadores de la dimensión, Pj sería el peso
de cada indicador e Ij es el valor de cada indicador obtenido en la expresión 5.
Para la evaluación de la variable la expresión sería:

donde H: total de dimensiones, Ph: es el peso de la dimensión
Las expresiones obtenidas se ajustan a la definición de un sistema de métodos, ya que evalúan las relaciones entre los diferentes métodos sin depender de la cantidad utilizada. Estas relaciones se determinan como la media del producto entre los pesos y la sumatoria de criterios, pues se logra homogeneizar las diferencias en los criterios de medida, así como la cantidad de dimensiones e indicadores asociados a cada método.
Cada método mide indicadores distintos y proporciona una perspectiva única de la misma variable, reforzando su carácter configuracional. En caso de que no se descomponga la variable en dimensiones, indicadores y criterios de medida, la expresión es lo suficientemente flexible para adaptarse asignando un valor específico en lugar de realizar cálculos adicionales.
Aunque esta expresión fue inicialmente desarrollada para medir la creatividad, también puede aplicarse a la evaluación de cualquier variable cuya operacionalización se descomponga en dimensiones, indicadores y criterios de medida. Esto amplía su aplicabilidad a otros contextos de investigación, y ofrece una herramienta versátil para el análisis de variables complejas.
Caso de aprendizaje creativo de la informática en los
estudiantes de cuarto año de la carrera de Ingeniería
Informática en la Universidad de Matanzas
En este apartado presentamos un caso de estudio que evalúa cuantitativamente el aprendizaje creativo en informática utilizando las expresiones previamente definidas. Al inicio, describimos la carrera de Ingeniería Informática en la Universidad de Matanzas y, finalmente, exponemos los resultados obtenidos tras la aplicación de dichas expresiones.
Las universidades cubanas cuentan con un currículo nacional estructurado en dos componentes: un 70% de las horas de asignaturas es común para todo el país, mientras que el 30% restante está destinado a asignaturas específicas que buscan facilitar la inserción laboral en cada provincia. El currículo nacional, que compone el 70%, es elaborado por la Comisión Nacional de Carrera, un órgano dirigido desde un centro rector designado por el Ministerio de Educación Superior. Este centro rector debe contar con un claustro de excelencia y con las capacidades necesarias para liderar la formación profesional en el resto del país. En el caso de la carrera de Ingeniería Informática, el centro rector es la Ciudad Universitaria “José Antonio Echeverría”, localizada en La Habana.
En la Universidad de Matanzas, se aprovecha el 30% del currículo específico para incluir asignaturas relacionadas con el desarrollo web y la seguridad informática, áreas clave debido a la relevancia del polo turístico de la provincia. Desde 2018, una reforma curricular nacional estableció una duración de cuatro años para la carrera de Ingeniería Informática, y el cuarto año es el terminal, en el cual se espera que los estudiantes demuestren creatividad en el ámbito de la informática.
Para aplicar las expresiones propuestas, y a partir de las encuestas presentadas en la tabla 2, se realizó primero una consulta a expertos para determinar los pesos de cada dimensión. Para seleccionar a los expertos, se empleó el método Delphi, ampliamente reconocido por su eficacia en procesos de consenso (De Cat et al., 2023). La muestra inicial incluyó a 180 personas vinculadas a empresas de desarrollo de software en Cuba, junto con los 14 coordinadores de carrera de Ingeniería Informática del país, quienes cuentan con categoría de profesor titular y doctorado en ciencias. Tras un análisis de competencia, se seleccionaron 170 expertos con un coeficiente de competencia superior a 0.80.
Los expertos fueron instruidos para completar las casillas en blanco de acuerdo con el orden indicado en la primera fila de la tabla 6, utilizando la escala proporcionada en la figura 2.
Tabla 6. Consulta a los expertos
|
Si el criterio que está en la fila es más importante que el de la columna, se pone cuanto más importante según la escala. En caso de ser menos importante, se pone el recíproco del valor de la escala |
|||
|
Personalización de los procesos informáticos |
Confrontación con los procesos informáticos ya dados que posibilitan la emergencia de sentidos subjetivos |
Producción, generación de ideas propias y “nuevas” durante la ejecución de un proyecto informático |
|
|
Personalización de los procesos informáticos |
1 |
||
|
Confrontación con los procesos informáticos ya dados que posibilitan la emergencia de sentidos subjetivos |
1 |
||
|
Producción, generación de ideas propias y “nuevas” durante la ejecución de un proyecto informático |
1 |
||
Se utiliza la escala de Saaty, tal como se describe en la tabla 3, de acuerdo con la metodología propuesta por Penadés (2017). En la figura 2 se presentan las matrices de comparaciones pareadas elaboradas por cada experto, así como los vectores de preferencias correspondientes para los expertos del 1 al 7, como ejemplo representativo del proceso de votación realizado por todos los participantes.

Experto 3

Experto 5

Experto 6

Experto 7

Figura 2. Resultados del procesamiento de la consulta a los expertos
Estos resultados son agregados utilizando la media geométrica hasta llegar a un nuevo vector de prioridad consensuado que se muestra en la tabla 7.
Tabla 7. Ponderación de las dimensiones
|
Criterios |
Comentarios |
Pesos |
|
|
1 |
Dimensión 1 |
Personalización de la información |
16.3% |
|
2 |
Dimensión 2 |
Confrontación con lo dado |
29.7% |
|
3 |
Dimensión 3 |
Generación de ideas |
54.0% |
Tomando la expresión 4, se determina la escala conforme al sistema evaluativo en Cuba para la educación superior, que se refleja en la tabla 8.
Tabla 8. Escala cuantitativa y cualitativa para evaluar aprendizaje creativo de la informática
|
Escala cualitativa |
Escala cuantitativa |
|
|
Valor inicial |
Valor final |
|
|
Excelente |
0.753 |
1 |
|
Bien |
0.502 |
0.752 |
|
Regular |
0.251 |
0.501 |
|
Mal |
0 |
0.25 |
La escala definida permite evaluar el aprendizaje creativo en informática y determinar el nivel de desarrollo alcanzado, considerando la escala cualitativa ajustada al criterio de evaluación cubano. El instrumento aplicado a los estudiantes fue validado con la participación de los mismos expertos que previamente asignaron los pesos a cada dimensión. Este enfoque asegura que los expertos evaluarán la correspondencia entre el instrumento, las dimensiones, los indicadores y los criterios de medida definidos.
Para medir la validez del instrumento, se utilizó la metodología propuesta por Posso Pacheco y Lorenzo Bertheau (2020), y se obtuvo un coeficiente de 0.80. Este resultado indica un alto grado de validez de acuerdo con los parámetros establecidos por los autores consultados.
Una vez diseñada la escala, procedimos a diagnosticar el aprendizaje creativo. En el caso de la carrera de Ingeniería Informática, este diagnóstico se realiza mediante un cuestionario aplicado a los 18 estudiantes del cuarto año, ya que este es el año terminal de la carrera. El cuestionario se adaptó a partir del cuestionario de autoevaluación del aprendizaje creativo desarrollado por Moreno (2019) para matemática, y se ajustó al ámbito de la informática considerando todos los aspectos que permiten identificar el nivel de cada indicador.
A los estudiantes se les pidió que se autoevaluaran utilizando una escala del 0 al 1, donde 0 representa la ausencia total del aspecto evaluado y 1, su presencia total (Canjongo et al., 2022; Molina et al., 2021). Cada criterio se calificó dentro de este intervalo mediante las siguientes etiquetas lingüísticas: verdadera (1), casi verdadera (0.9), bastante verdadera (0.8), algo verdadera (0.7), más verdadera que falsa (0.6), tan verdadera como falsa (0.5), más falsa que verdadera (0.4), algo falsa (0.3), bastante falsa (0.2), casi falsa (0.1), falsa 0. Para evaluar esta variable compleja, asumimos las dimensiones, indicadores y criterios de medida elaboradas por González et al. (2022b).
Tabla 9. Evaluación del aprendizaje creativo en el cuarto año
|
Estudiante |
Dimensión 1 |
Dimensión 2 |
Dimensión 3 |
Cuantitativa |
Cualitativa |
|
1 |
0,0815 |
0,1782 |
0,09882 |
0,35852 |
Regular |
|
2 |
0,0815 |
0,1188 |
0,162 |
0,3623 |
Regular |
|
3 |
0,027221 |
0,1188 |
0,189 |
0,335021 |
Regular |
|
4 |
0,0815 |
0 |
0,027 |
0,1085 |
Mal |
|
5 |
0,108721 |
0,1188 |
0,22275 |
0,450271 |
Regular |
|
6 |
0,054279 |
0,1782 |
0,081 |
0,313479 |
Regular |
|
7 |
0,054279 |
0,0594 |
0,0225 |
0,136179 |
Mal |
|
8 |
0,0815 |
0,1782 |
0,108 |
0,3677 |
Regular |
|
9 |
0,163 |
0,1782 |
0,405 |
0,7462 |
Bien |
|
10 |
0,0815 |
0 |
0 |
0,0815 |
Mal |
|
11 |
0,0815 |
0,2376 |
0,54 |
0,8591 |
Excelente |
|
12 |
0,108721 |
0,1782 |
0,27 |
0,556921 |
Bien |
|
13 |
0,135779 |
0,1782 |
0,27 |
0,583979 |
Bien |
|
14 |
0,0815 |
0,297 |
0,405 |
0,7835 |
Excelente |
|
15 |
0,108721 |
0,0594 |
0,405 |
0,573121 |
Bien |
|
16 |
0,054279 |
0 |
0,189 |
0,243279 |
Mal |
|
17 |
0,108721 |
0,1782 |
0,189 |
0,475921 |
Regular |
|
18 |
0,054279 |
0 |
0 |
0,054279 |
Mal |
|
19 |
0 |
0 |
0,135 |
0,135 |
Mal |
Del análisis de la tabla, podemos inferir que las evaluaciones más bajas correspondieron a la dimensión tres. Al dividir los valores obtenidos por el peso de esta dimensión, obtuvimos un resultado significativamente inferior al de las dos primeras dimensiones. Esto indica que los estudiantes presentaron mayores deficiencias en la dimensión tres, considerada por los expertos como la más importante para el aprendizaje creativo. De los 19 estudiantes evaluados, solo tres mostraron indicadores en esta dimensión que permiten afirmar que generan ideas propias y nuevas en el ámbito de la informática.
Los indicadores con menos desarrollo fueron:
Estos son los indicadores en los que, según la valoración de los expertos, se expresa con mayor fuerza la creatividad de los estudiantes.
Por otro lado, los indicadores mejor evaluados dentro de esta dimensión tres fueron:
Estos indicadores, aunque mejor evaluados, tienen un menor peso en el sentido subjetivo de producción y generación de ideas nuevas.
Las regularidades obtenidas son:
Los estudiantes tienden a aprender para saber y comprender los contenidos que se les presentan, con el objetivo de aplicarlos. Sin embargo, pocos se cuestionan si hay algo más allá de lo que se les enseña.
No se evidencian formas de aprendizaje que promuevan la creatividad, como la generación de ideas, la confrontación de lo dado o la búsqueda de nuevas soluciones.
Los estudiantes no demuestran seguridad, confianza o compromiso hacia el aprendizaje de la informática. La mayoría de los comentarios reflejan que consideran el aprendizaje útil solo como medio para alcanzar otros objetivos, más que como una fuente de placer por descubrir algo nuevo.
No se aprecian dinámicas de aprendizaje basadas en proyectos o roles. Los estudiantes generalmente no aceptan el error como parte del proceso de aprendizaje, no establecen comunicación fácilmente con otros y pocos desarrollan proyectos propios.
No se observa un trabajo significativo por parte del profesorado para orientar el aprendizaje comprensivo hacia un enfoque más creativo.
No se observa un esfuerzo por parte de las estructuras organizativas de la carrera para fomentar una transición del aprendizaje comprensivo hacia un aprendizaje creativo.
Generalmente, las variables complejas como la creatividad se miden utilizando más de un instrumento, ya que la triangulación de los resultados mejora la fiabilidad (Agnoli y Mastria, 2022; Betti et al., 2022). En este caso, se emplearon tres métodos:
Cada uno de los instrumentos utilizados fue validado por los mismos expertos siguiendo el procedimiento establecido para el cuestionario. Los índices de validez obtenidos fueron superiores a 0.75, lo que indica un alto nivel de fiabilidad.
Además, mediante el método de expertos, se calcularon los pesos correspondientes a cada método con el mismo procedimiento aplicado previamente para determinar los pesos.
Tabla 10. Peso de los métodos
|
Criterio |
Comentarios |
Peso |
|
|
1 |
Entrevista |
Se realiza una entrevista a los profesores para que evalúen el aprendizaje creativo de los estudiantes |
0.25 |
|
2 |
Encuesta |
La encuesta permite que los estudiantes se autoevalúen |
0.25 |
|
3 |
Observación |
La observación es realizada por uno de los investigadores que, además, imparte docencia al grupo. Esto garantiza que se trate de una observación de tipo participante, que promueve un ambiente de confianza con los estudiantes y evita que se sientan cohibidos por la presencia de personas ajenas al entorno académico |
0.50 |
Dado que en cada método se evalúan todos los criterios de medida, se utiliza la expresión 1 para realizar el cálculo de los resultados. Los valores obtenidos se presentan en la tabla 11.
Tabla 11. Evaluación del aprendizaje creativo en el cuarto año utilizando tres métodos
|
Dimensión 1 |
Dimensión 2 |
Dimensión 3 |
APCI |
Calificación |
|
|
Estudiante 1 |
0.39375 |
0.244166667 |
0.31875 |
0,3088 |
Regular |
|
Estudiante 2 |
0.272222222 |
0.415 |
0.325 |
0,3431 |
Regular |
|
Estudiante 3 |
0.33125 |
0.375 |
0.464583333 |
0,3336 |
Bien |
|
Estudiante 4 |
0.606944444 |
0.475 |
0.326041667 |
0,1261 |
Bien |
|
Estudiante 5 |
0.491666667 |
0.3775 |
0.3375 |
0,3745 |
Regular |
|
Estudiante 6 |
0.510416667 |
0.44 |
0.3125 |
0,3337 |
Bien |
|
Estudiante 7 |
0.61875 |
0.43 |
0.295833333 |
0,372 |
Regular |
|
Estudiante 8 |
0.252083333 |
0.405 |
0.25 |
0,2964 |
Regular |
|
Estudiante 9 |
0.465972222 |
0.35 |
0.5 |
0,7499 |
Regular |
|
Estudiante 10 |
0.2625 |
0.1425 |
0.25 |
0,2201 |
Mal |
|
Estudiante 11 |
0.29375 |
0.3425 |
0.625 |
0,7871 |
Regular |
|
Estudiante 12 |
0.822222222 |
0.8075 |
0.725 |
0,5653 |
Excelente |
|
Estudiante 13 |
0.557638889 |
0.5 |
0.391666667 |
0,4509 |
Regular |
|
Estudiante 14 |
0.5 |
1 |
0.75 |
0,7835 |
Excelente |
|
Estudiante 15 |
0.622222222 |
0.19 |
0.75 |
0,5629 |
Bien |
|
Estudiante 16 |
0.3333 |
0.23564 |
0.4534 |
0,3243 |
Regular |
|
Estudiante 17 |
0.27453 |
0.224367 |
0.2354 |
0,22434523 |
Mal |
|
Estudiante 18 |
0.354323 |
0.12342 |
0.4867 |
0,254333547 |
Mal |
|
Estudiante 19 |
0.248734 |
0.16342 |
0.1298675 |
0,154452381 |
Mal |
Es interesante analizar las diferencias que pueden surgir al medir un fenómeno utilizando un solo instrumento en comparación con varios instrumentos. Aunque los valores obtenidos no son necesariamente iguales, estas diferencias no deberían ser tan significativas como para provocar un cambio en la calificación cualitativa de un intervalo a otro (ya sea superior o inferior).
Por esta razón, se considera como diferencia significativa un valor de 0.25, el cual corresponde a la distancia entre el valor máximo y mínimo dentro de cada intervalo. Este criterio permite evaluar con precisión la consistencia entre las mediciones realizadas con diferentes instrumentos. En la tabla 12 presentamos los resultados de esta comparación.
Tabla 12. Diferencia de resultados con un método y con nmétodos
|
APCI nmétodos |
APCI |
Diferencia |
|
|
Estudiante 1 |
0,3088 |
0,35852 |
-0,04972 |
|
Estudiante 2 |
0,3431 |
0,3623 |
-0,0192 |
|
Estudiante 3 |
0,3336 |
0,335021 |
-0,001421 |
|
Estudiante 4 |
0,1261 |
0,1085 |
0,0176 |
|
Estudiante 5 |
0,3745 |
0,450271 |
-0,075771 |
|
Estudiante 6 |
0,3337 |
0,313479 |
0,020221 |
|
Estudiante 7 |
0,372 |
0,136179 |
0,235821 |
|
Estudiante 8 |
0,2964 |
0,3677 |
-0,0713 |
|
Estudiante 9 |
0,7499 |
0,7462 |
0,0037 |
|
Estudiante 10 |
0,2201 |
0,0815 |
0,1386 |
|
Estudiante 11 |
0,7871 |
0,8591 |
-0,072 |
|
Estudiante 12 |
0,5653 |
0,556921 |
0,008379 |
|
Estudiante 13 |
0,4509 |
0,583979 |
-0,133079 |
|
Estudiante 14 |
0,7835 |
0,7835 |
0 |
|
Estudiante 15 |
0,5629 |
0,573121 |
-0,010221 |
|
Estudiante 16 |
0,3243 |
0,243279 |
0,081021 |
|
Estudiante 17 |
0,22434523 |
0,475921 |
-0,25157577 |
|
Estudiante 18 |
0,224333547 |
0,054279 |
0,170054547 |
|
Estudiante 19 |
0,154452381 |
0,135 |
0,019452381 |
El cálculo de la diferencia entre los resultados obtenidos mediante los tres métodos y la encuesta se realizó restando el primer valor del segundo. Los resultados muestran que solo dos estudiantes superan el intervalo previsto, lo que indica que las desviaciones significativas entre una evaluación y otra son escasas.
Una de las posibles explicaciones para este fenómeno es la autoevaluación que los estudiantes realizan de sí mismos. En el caso de los estudiantes con valores positivos, estos reflejan una autovaloración inadecuada y sobreestimada en relación con sus capacidades reales. Por otro lado, el estudiante con un valor negativo muestra una valoración inadecuada por debajo de sus posibilidades.
En una entrevista adicional realizada con esta estudiante, se reveló que tiene una actitud poco exigente consigo misma, establece metas bajas y valora positivamente los contenidos que logra adquirir con la ayuda del profesor o sus compañeros, considerándolos como manifestaciones de creatividad, incluso cuando no cumplen con los criterios previstos.
Asimismo, los nueve estudiantes que obtuvieron valores negativos evidencian una subvaloración respecto a su creatividad en informática, ya que sus autoevaluaciones arrojan puntuaciones menores que las obtenidas mediante entrevistas con profesores y observaciones directas. Este resultado sugiere que los estudiantes tienden a evaluar su desempeño de manera negativa.
De estas observaciones se infiere la importancia de que los profesores destaquen y refuercen aquellos momentos en los que los estudiantes logran resultados acordes con la dimensión 3 de creatividad. Este enfoque contribuye a estimular la confianza de los estudiantes y fomenta el desarrollo de un aprendizaje creativo en el ámbito de la informática.
Conclusiones
La evaluación cuantitativa de la creatividad es un proceso poco explorado en la literatura científica en comparación con otros aspectos relacionados con este tema. Un análisis documental permitió identificar que solo 14 estudios abordan explícitamente formas de medir la creatividad, aunque estas propuestas resultan insuficientemente generalizables para ser aplicadas en otras investigaciones.
En este contexto, la expresión matemática desarrollada en esta investigación permitió evaluar de manera cuantitativa el aprendizaje creativo en informática tanto en profesionales como en estudiantes en formación. Esta metodología logra asociar un número —producto del cálculo de las expresiones matemáticas propuestas— a una variable compleja como el aprendizaje creativo en informática. Además, la expresión permite realizar evaluaciones utilizando un único método o combinando varios. Otra expresión complementaria facilita a los investigadores convertir el valor obtenido en una escala cuantitativa y cualitativa comprensible y útil para la interpretación de resultados.
La primera validación de esta expresión se llevó a cabo mediante un estudio de caso en la carrera de Ingeniería Informática de la Universidad de Matanzas. Su aplicación en un contexto de aprendizaje permitió realizar comparaciones con un alto grado de diferenciación entre los niveles de aprendizaje creativo de los estudiantes. Los resultados muestran que no existen diferencias significativas entre las evaluaciones obtenidas mediante una encuesta aplicada a los estudiantes y aquellas obtenidas utilizando múltiples métodos. Este hallazgo respalda la factibilidad de la expresión propuesta, al demostrar su capacidad para generar resultados consistentes, independientemente del método de evaluación empleado.
Referencias bibliográficas
Agnoli, S. y Mastria, S. (2022). Editorial introduction to the special issue “Advances in the measurement and evaluation of creativity”. Creativity Research Journal, vol. 34, núm. 4, pp. 1-6. https://doi.org/10.1080/10400419.2022.2152555
Almeida, J. F. y Flores, S. (2010). Jerarquización de proyectos de vivienda del Instituto Regional de la Vivienda del estado Portuguesa con el método proceso analítico jerárquico. Revista Venezolana de Análisis de Coyuntura, vol. XVI, núm. 2, pp. 167-183. https://www.redalyc.org/pdf/364/36418856009.pdf
Apaydin, S. y Güven, S. (٢٠٢٢). Pre-Service teachers’ evaluations of creativity in higher education. Educational Policy Analysis and Strategic Research, vol. 17, núm. 1, pp. 58-87. https://doi.org/10.29329/epasr.2022.248.4
Asif Naveed, M., Iqbal, J., Asghar, M. Z., Shaukat, R. y Seitamaa-hakkarainen, P. (2023). Information literacy as a predictor of work performance: The mediating role of lifelong learning and creativity. Behaviour Science, vol. 13, núm. 24, pp. 1-17. https://doi.org/10.3390/bs13010024
Betti Frare, A., Beuren, I. M. y da-Silva, E. S. (2022). Performance measurement system, organizational learning, and creativity. BAR−Brazilian Administration Review, vol. 19, pp. 1-22. https://doi.org/10.1590/1807-7692bar2022210099
Canjongo Daniel, E. P., González Hernández, W. y Becalli Puerta, L. H. (2022). La enseñanza-aprendizaje de la simbología química como parte del lenguaje químico en la Escuela Superior Pedagógica de Bié (ESPB). Educación Química, vol. 33, núm. 2, pp. 37-49. https://doi.org/10.22201/fq.18708404e.2022.2.76864
Chen, S. (2024). Implications of the work of Vygotsky or Piaget for research in the field of learning sciences. Academic Journal of Humanities & Social Sciences, vol. 7, núm. 3, pp. 188-193. https://doi.org/ 10.25236/AJHSS.2024.070329
Chesnokova, O. y Subbotsky, E. (2014). Social creativity in primary-school children: How to measure, develop and accept it. Procedia-Social and Behavioral Sciences, vol. 146, pp. 141-146. https://www.sciencedirect.com/science/article/pii/S1877042814047557
Cruz Ramírez, M. (2020). Un procedimiento de evaluación basado en el criterio de expertos con enfoque difuso. Roca: Revista científico-educacional de la provincia Granma, vol. 16, pp. 1-15. https://dialnet.unirioja.es/servlet/articulo?codigo=8436724.
De-Almeida, P. y Mitjáns Martínez , A. (2020). Emergencia del aprendizaje creativo. Alternativas Cubanas en Psicología, vol. 8, núm. 23, pp. 95-111. https://www.alfepsi.org/wp-content/uploads/2020/06/23-altermativas-cubanas-en-psicologia-v8n23.pdf#page=98
De Cat, C., Kašćelan, D., Prévost, P., Serratrice, L., Tuller, L., Unsworth, S. y Consortium, Q.-B. (2023). How to quantify bilingual experience? Findings from a Delphi consensus survey. Bilingualism: Language and Cognition, vol. 26, núm. 1, pp. 112-124. https://doi.org/10.1017/S1366728922000359
De-Pisapia, N. y Rastelli, C. (2022). Creativity as an information-based process. Rivista Internazionale di Filosofia e Psicologia, vol. 13, núm. 1, pp. 1-18. https://doi.org/10.4453/rifp.2022.0001
Díaz Gómez, Á. y Martínez, A. M. (2013). Creatividad y subjetividad: su expresión en el contexto escolar. Diversitas: Perspectivas. Psicológicas, vol. 9, núm. 2, pp. 427-434. http://www.scielo.org.co/pdf/dpp/v9n2/v9n2a15.pdf
Fürst, G. y Grin, F. (2018). A comprehensive method for the measurement of everyday creativity. Thinking Skills and Creativity, vol. 28, pp. 84-97. https://doi.org/10.1016/j.tsc.2018.03.007
Furtwengler, S. R. (2021). Development of a creativity orientation scale using EFA. Journal of Creativity, vol. 31, pp. 1-6. https://doi.org/10.1016/j.yjoc.2021.100004
González-Rey, F. (2019). Methodological and epistemological demands in advancing the study of subjectivity. Culture & Psychology, vol. 26, núm. 3, pp. 562-577. https://doi.org/10.1177/1354067X19888185
González Hernández, W., Petersson Roldán, M. y García Moreno, M. (2022a). Aprendizaje creativo de la informática: conceptualización. Universidades 2022, La Habana-Cuba. https://www.congresouniversidad.cu/.
González Hernández, W., Petersson Roldán, M. y García Moreno, M. (2022b). El aprendizaje creativo de la informática: definición de una variable. XXIII Evento Internacional de la Enseñanza de la Matemática, la Computación y la Estadística, Matanzas-Cuba. https://rein.umcc.cu/handle/123456789/2302
González Rey, F. (2019). Fifty years after L I Bozhovich’s personality and its formation in childhood recovering her legacy and her historical role. Mind, Culture, and Activity, vol. 26, núm. 2, pp. 108-120. https://doi.org/10.1080/10749039.2019.1616210
Görlich, Y. (2023). Development of Creative Process Assessment Scale (CPAS). Journal of Creativity, vol. 33, pp. 1-12. https://doi.org/10.1016/j.yjoc.2023.100042
Hardwicke, T. E., Szucs, D., Thibault, R. T., Crüwell, S., van-den-Akker, O. R., Nuijten, M. B. y Ioannidis, J. P. A. (2021). Citation patterns following a strongly contradictory replication result: Four case studies from psychology. Advances in Methods and Practices in Psychological Science, vol. 4, núm. 3, pp. 1-14. https://doi.org/10.1177/25152459211040837
Havârneanu, G. (2022). The architecture of a standardised mathematical creativity test for developmental evaluation. Proceedings of CBU in Social Sciences, vol. 3, pp. 43-49. https://ojs.cbuic.cz/index.php/pss/article/download/303/643
Hernández Sampieri, R., Fernández Collado, C. y Baptista Lucio, M. d. P. (2014). Metodología de la investigación. McGraw-Hill/Interamericana Editores.
Herrera Masó, J. R., Ricardo, J. L. C., Rangel, M. Á. G., Ramos, M. I. C. y González, Y. T. (2022). El método de consulta a expertos en tres niveles de validación. Revista Habanera de Ciencias Médicas, vol. 21, núm. 1, pp. 1-11. http://scielo.sld.cu/pdf/rhcm/v21n1/1729-519X-rhcm-21-01-e4711.pdf
Hsu-Chan, K., Burnard, P., McLellan, R. y Ying-Yao, C. (2017). The development of indicators for creativity education and a questionnaire to evaluate its delivery and practice. Thinking Skills and Creativity, vol. 24, pp. 186-198. https://doi.org/10.1016/j.tsc.2017.02.005
Katz, J. H., Mann, T. C., Shen, X., Goncalo, J. A. y Ferguson, M. J. (2022). Implicit impressions of creative people: Creativity evaluation in a stigmatized domain. Organizational Behavior and Human Decision Processes, vol. 169, pp. 1-14. https://doi.org/10.1016/j.obhdp.2021.104116
Kenett, Y. N., Kraemer, D. J. M., Alfred, K. L., Colaizzi, G. A., Cortes, R. A. y Green, A. E. (2020). Developing a neurally informed ontology of creativity measurement. NeuroImage, vol. 221, pp. 117166. https://doi.org/https://doi.org/10.1016/j.neuroimage.2020.117166
Kirby, C. K., Specht, K., Fox-Kämper, R., Hawes, J. K., Cohen, N., Caputo, S., Ilieva, R. T., Lelièvre, A., Ponizy, L., Schoen, V. y Blythe, C. (2021). Research paper differences in motivations and social impacts across urban agriculture types: Case studies in Europe and the US. Landscape and Urban Planning, vol. 212, pp. 1-11. https://doi.org/10.1016/j.landurbplan.2021.104110
Lao León, Y. O., Pérez Pravia, M. C. y Marrero Delgado, F. (2016). Procedimiento para la selección de la comunidad de expertos con técnicas multicriterio. Ciencias Holguín, vol. 22, núm. 1, pp. 1-16. https://www.redalyc.org/pdf/1815/181543577003.pdf
Leutner, F., Yearsley, A., Codreanu, S.-C., Borenstein, Y. y Ahmetoglu, G. (2017). From Likert scales to images: Validating a novel creativity measure with image based response scales. Personality and Individual Differences, vol. 106, pp. 36-40. https://doi.org/10.1016/j.paid.2016.10.007
Medina, P., González, W., Robayo, D., López, G. y Freire, T. (2021, septiembre). Metric to evaluate virtual courses: case Ecuador. En 2021 XI International Conference on Virtual Campus (JICV) (pp. 1-4). IEEE. https://ieeexplore.ieee.org/abstract/document/9600408
Mitjáns Martínez, A. (2013). Aprendizaje creativo: desafíos para la práctica pedagógica. CS, núm. 11, pp. 311-341. https://www.proquest.com/openview/4441b6a7fafffc69653ae68618feae60/1?pq-origsite=gscholar&cbl=716395
Molina Hernández, C. R., González Hernández, W. y Cruz Lemus, G. (2021). Habilidad modelar procesos dinámicos de control automático. Educación Química, vol. 32, núm. 1, pp. 100-111. https://doi.org/10.22201/fq.18708404e.2021.1.75429
Moreno García, M. C. (2019). El aprendizaje creativo en la matemática, su contribución a la formación del ingeniero industrial. Atenas, vol. 2, núm. 46, pp. 47-63. https://pf.umcc.cu/index.php/atenas/article/view/342
Ott, M. y Pozzi, F. (2010). Towards a model to evaluate creativity-oriented learning activities. Procedia-Social and Behavioral Sciences, vol. 2, núm. 2, pp. 3532-3536. https://doi.org/10.1016/j.sbspro.2010.03.547
Pei, Y., Han, J., Zhao, J., Liu, M. y Pang, W. (2022). The effects of the creator’s situation on creativity evaluation: The rater’s cognitive empathy and affective empathy matter in rating creative works. Journal of Intelligence, vol. 10, núm. 75, pp. 1-19. https://doi.org/10.3390/jintelligence10040075
Penadés Pla, V. (2017). Aplicación de la toma de decisión multicriterio al diseño sostenible de puentes de hormigón Universitat Politécnica de Valencia. https://riunet.upv.es/handle/10251/89181
Peña Vera, T. (2022). Etapas del análisis de la información documental [Stages of the Analysis of the Documentary Information]. Revista Interamericana de Bibliotecología, vol. 45, núm. 3, pp. 34-46. https://doi.org/10.17533/udea.rib.v45n3e340545
Peralta Hernández, J. y Tirado Segura, F. (2023). The teaching of collaborative creativity, a methodological approach to designing the environment. Journal of Formative Design in Learning, vol. 7, núm. 1, pp. 46-60. https://doi.org/10.1007/s41686-022-00073-1
Posso Pacheco, R. J. y Lorenzo Bertheau, E. (2020). Validez y confiabilidad del instrumento determinante humano en la implementación del currículo de educación física. Revista EDUCARE-UPEL-IPB-Segunda Nueva Etapa 2.0, vol. 24, núm. 3, pp. 205-223. https://revistas.investigacion-upelipb.com/index.php/educare/article/view/1410
Romo, M., Alfonso-Benlliure, V. y Sánchez-Ruiz, M.-J. (2016). El test de creatividad infantil (TCI): evaluando la creatividad mediante una tarea de encontrar problemas. Psicología Educativa, vol. 22, núm. 2, pp. 93-101. https://doi.org/10.1016/j.pse.2016.01.005
Roth, T., Conradty, C. y Bogner, F. X. (2022). Testing creativity and personality to explore creative potentials in the science classroom. Research in Science Education, vol. 52, pp. 1293-1312. https://doi.org/10.1007/s11165-021-10005-x
Saaty, R. W. (1987). The analytic hierarchy process—what it is and how it is used. Mathematical modelling, vol. 9, núm. 3-5, pp. 161-176. https://doi.org/10.1016/0270-0255(87)90473-8
Saenna, W. y Phusee-orn, S. (2022). The development of a scientific creativity test in science for high school students of Northeastern Princess Chulabhorn Science High Schools. Higher Education Studies, vol. 12, núm. 3, pp. 105-113. https://doi.org/10.5539/hes.v12n3p105
Said-Metwaly, S., Van-den-Noortgate, W. y Barbot, B. (2021). Torrance test of creative thinking-verbal, Arabic version: Measurement invariance and latent mean differences across gender, year of study, and academic major. Thinking Skills and Creativity, vol. 39, pp. 1-11. https://doi.org/10.1016/j.tsc.2020.100768
Saleem, S., Burns, S. y Perlman, M. (2024). Cultivating young minds: Exploring the relationship between child socio-emotional competence, early childhood education and care quality, creativity and self-directed learning. Learning and Individual Differences, vol. 111, pp. 102440. https://doi.org/https://doi.org/10.1016/j.lindif.2024.102440
Torres Oliveira, C. y Mitjáns Martínez, A. (2020). Expresiones de la subjetividad social en el aula y creatividad en el aprendizaje: un estudio de caso. Alternativas cubanas en Psicología, vol. 8, núm. 23, pp. 126-144. https://www.fernandogonzalezrey.com/images/homenagens/anexos-dois/Saiba_mais_-_altermativas-cubanas-en-psicologia-v8n23.pdf#page=129
Vasylenko, O., Potapchuk, Y., Karpova, D., Podkorytova, L., Kuleshova, O., Mikheieva, L. y Varhata, O. (2022). Diagnosis of features of creativity development of future psychologists: Gender aspect. Revista Românească pentru Educaţie Multidimensională, vol. 14, núm. 4, pp. 408-422. https://doi.org/10.18662/rrem/14.4/648
Wiggins, G. A. (2020). Creativity, information, and consciousness: The information dynamics of thinking. Physics of Life Reviews, vol. 34-35, pp. 1-39. https://doi.org/https://doi.org/10.1016/j.plrev.2018.05.001
Yeh, C. S.-H. y Barrington, R. (2023). Sustainable positive psychology interventions enhance primary teachers’ wellbeing and beyond –A qualitative case study in England. Teaching and Teacher Education, vol. 125, pp. 104072. https://doi.org/https://doi.org/10.1016/j.tate.2023.104072
Zada, M., Khan, J., Saeed, I., Zada, S. y Jun, Z. Y. (2023). Curiosity may have killed the cat but it has the power to improve employee creativity. Current Psychology, vol. 42, núm. 36, pp. 32299-32313. https://doi.org/10.1007/s12144-022-04171-y