ISSN: 2007-7033 | No. 59 | e1429 | Thematic section: research articles
Mastery motivational climate intervention:
Motor and social benefits for children
with and without disabilities
Beneficios de una intervención de clima motivacional para
el dominio de las habilidades motoras y sociales de niños de
escasos recursos con retraso motor: un estudio de campo
Rosiane Karine Pick*
Nadia Cristina Valentini**
This mixed-design study examined the effects of a mastery motivational climate intervention on the motor and social skills of underserved children with and without disabilities. A mastery climate was implemented for the intervention group consistent with the TARGET structure. Children, 24 children with disabilities (12 boys, 12 girls) and 52 without disabilities (31 boys, 21 girls), were assessed with the Test of Gross Motor Development –second edition pre-and post-intervention. Along with the intervention, social skills were assessed using a qualitative approach; a checklist with five levels of personal e social responsibility behavior was used. Results showed that mastery motivational climate intervention was effective in promoting positive changes in locomotor and object control scores; the intervention group also showed higher performance in the post-intervention than the control group. Along with the intervention, the children in the mastery motivational climate group also adopted higher personal and social responsibility levels during the lessons. Positive correlations were observed between children’s motor development and their levels of responsibility. The mastery motivational climate intervention promotes positive motor and social skills changes for children living in vulnerability.
Keywords:
child development, children with disabilities, motor delays, social skills, motor skill intervention
Este estudio examinó los efectos de una intervención de clima motivacional para el dominio de las habilidades motoras y sociales de niños de bajos ingresos, con y sin discapacidades. Se estableció un clima para el dominio con el grupo de intervención acorde con la estructura de TARGET. Los participantes, 24 niños con discapacidades (12 niños; 12 niñas) y 52 sin discapacidades (31 niños; 21 niñas), fueron evaluados con el test de desarrollo de la motricidad gruesa -segunda edición- antes y después de la intervención. Junto con esta, se evaluaron las habilidades sociales mediante un enfoque cualitativo; se utilizó una lista de control con cinco niveles de comportamiento de responsabilidad personal y social. Los resultados mostraron que la intervención fue eficaz para promover cambios positivos en las puntuaciones de control locomotor y de objetos; el grupo de intervención también reportó un mayor rendimiento en la posintervención que el grupo de control. Además de la intervención, los niños del grupo de clima motivacional de dominio adoptaron niveles más altos de responsabilidad personal y social durante las clases. Se observaron correlaciones positivas entre el desarrollo motor de los niños y sus niveles de responsabilidad. La intervención del clima de motivación de dominio promueve cambios positivos en las habilidades motoras y sociales de los niños que viven en situación de vulnerabilidad.
Palabras clave:
desarrollo infantil, niños con discapacidad, retrasos motores, habilidades sociales, intervención en habilidades motoras
Submitted: April 15, 2022| Accepted for publication: September 7, 2022 |
Published: September 28, 2022
Citation: Pick, R. K. y Valentini, N. C. (2022). Mastery motivational climate intervention: Motor and social benefits for children with and without disabilities. Sinéctica, Revista Electrónica de Educación, (59), e1429. https://doi.org/10.31391/S2007-7033(2022)0059-012
* Master’s degree in Human Movement Science (UFRGS, Brazil). Director of PICK Education Consulting. Lines of research: the development of child psychomotricity, the implementation of the TPRS Model in Adapted Physical Education. Email: rosiane.pick@hotmail.com/https://orcid.org/0000-0003-4539-6558
** PhD in Human Exercise Science, Auburn University, AU, US. Professor at the Universidade Federal do Rio Grande do Sul. Lines of research: assessment, developmental trajectories, and cognitive-motor intervention for children living in vulnerability. Email: nadia.cristina@ufrgs.br/https://orcid.org/0000-0001-6412-5206

Introduction
Socialization, the process in which a range of social skills becomes gradually more elaborated over time (Bronfenbrenner, 1979), is built throughout social interactions across the life span. In this process, the influence of others is fundamental to determining which skills will be acquired, when and how they will used. Consequently, social skills are developed differently among individuals, dependent on the opportunities provided in the context of development. Few opportunities to a child adopt responsible behaviors within an environment might lead to difficulties in attaining social skills. Children with motor delays, especially children with disability, due to the lack of interpersonal interactions and social isolation, are often deprived of opportunities to acquire social skills (Kirk et al., 2006; Sherrill, 2004). For children with multiple disabilities or a more severe level of impairment, social delays are more evident (Auxter et al., 2004).
Therefore, for children with disabilities, motor skills development is crucial to help them to interact with other children, develop social skills, and avoid social isolation (Rimmer & Kelly, 1989; Valentini & Rudisill, 2004a). During the practice of motor tasks, mutual contact and social interactions are inevitable (Buchanan, 2001). Motor active programs provide children with opportunities to solve motor problems (Valentini & Rudisill, 2004a), learn personal and social values (Hellison, 2011), demonstrate happiness, sadness, frustrations, and pleasure (Buchanan, 2001), acquire skills to be used in games (Valentini & Rudisill, 2004a), experience feelings of competent (Valentini & Rudisill, 2004a; 2004b).
Besides, children enrolled in motor and youth sports programs are more likely to show enjoyment and high personal and social responsibility (Almeida & Pick, 2018; Buchanan, 2001; DeBusk & Hellison, 1989; Hastie & Buchanan, 2000; Jenkins, 2004; Li et al., 2008); benefits have been reported for also for children with disabilities (Karagiannis et al., 1996; Kirk et al., 2006; Monteiro et al., 2008). Social changes are observed as children increase engagement, effort, autonomy, self-control, and awareness of their responsibility during intervention sessions (Bibby et al., 2002; Sayers et al., 2002; Valentini & Rudisill, 2004a; 2004b; Wright et al., 2004; Wright & Craig, 2011). Similar results are reported for children and youth at risk in sports programs that incorporate as content the concepts of personal and social responsibility and promote changes in attitudes and behaviors (DeBusk & Hellison, 1989; Hastie & Buchanan, 2000; Hellison, 1990; Hellison & Walsh, 2002; Hellison & Wright, 2003).
There is an urge to empower communities to organize programs to underserved children from low-income neighboring (Walsh, 2006) since these children are exposed for several threats to their physical and psychological well-being (Wright & Burton, 2008). By incorporating the best-practice strategies in motor programs, teachers can effectively increase the probability of success for children with and without dishabilles (Valentini & Rudisill, 2004a; 2004b; Walsh, 2006). Incorporating consistent learning opportunities for children to interact in a rich, challenge and inclusive environment, creates opportunities for physical and emotional learning for children with disabilities from low-income families, exposing those children to the practice of new motor skills (Valentini & Rudisill, 2004b) and social acquaintance (Kunh et al., 2001).
Several strategies have been used to design programs suitable for children with different levels of motor skill performance. One recognized approach to teaching motor skills is the Mastery Motivational Climate –MMC (Berleze & Valentini, 2021, 2022; Goodway et al., 2002; Valentini et al., 1999a; 1999b; Valentini & Rudisill, 2004a; 2004b; Nobre et al., 2022). This climate is implemented when teachers provide a great variety of motor tasks in each lesson and create opportunities for children’s decision-making, problem-solving, and experiencing leadership roles. The teacher also promotes a mastery motivational climate when helping children set individual goals to be accomplished and self-evaluation parameters and allows children to pace their learning. Individual recognition of effort and improvement, fostering children’s autonomy and pleasure when learning, and enrolled adults to reinforce their children’s accomplishments are also strategies within the core of MMC (Valentini et al., 1999a; 1999b).
Intervention implementing MMC has led to positive changes in children motor skill (Berleze & Valentini, 2021; 2022; Brauner et al., 2017: Nobre et al., 2022; Píffero & Valentini, 2010; Sampaio & Valentini, 2015; Valentini & Rudisill, 2004a; 2004b; Valentini et al., 2017; Zanella et al., 2016; Valentini, 2016), feelings of competence and global self-worth (Berleze & Valentini, 2021; 2022; Nobre et al., 2022; Píffero & Valentini, 2010; Theeboom et al., 1995; Valentini & Rudisill, 2004b), verbal recall (Valentini et al., 2017), active daily routine (Berleze & Valentini, 2021; 2022; Brauner et al., 2017), engagement with success in the lessons (Berleze & Valentini, 2021; 2022), and math, writing and reading skills (Nobre et al., 2022). To date, no research has focused on investigating the influence of such a climate on the social development of children with motor delays. Therefore, the present study aimed to investigate the (1) effects of a Mastery Climate Intervention on motor skills and personal and social responsibility of children with and without disabilities with developmental delays, (2) whether the patterns motor and social changes along the intervention would be similar for children with and without disabilities, and (3) the associations between motor and personal and social responsibility skills. It was hypothesized that all children would demonstrate positive and significant changes in motor skills and personal and social responsibility from pre- to post-intervention, similar patterns of changes for children with and without disabilities, and positive associations between motor and responsibility scores.
Method
Participants
Initially, 108 children identified by physical education teachers and school staff from 10 public schools as having motor difficulties and social interaction problems, were recommended to be assessed for eligibility in the present study. Seventy-six children, 4 to 10 years-old (M = 7.00, SD = 1.44) who demonstrated motor delays, assessed using the Test of Gross Motor Development –second edition (TGMD-2; Ulrich, 2000) were selected to be a part of the study. All children scored below de 5th percentile on the TGMD-2 (Ulrich, 2000) and were classified as developmentally delayed; 24 children with disabilities (12 boys, 12 girls) and 52 without disabilities (31 boys, 21 girls). Children with disabilities (Mage = 6.79, SD = 1.71) showed very poor standards scores for the locomotor (M= 2.38, SD=1.88) and object control (M = 2.46, SD = 1.93) assessment. Similar trend was demonstrated by children without disabilities (Mage = 7.09, SD = 1.30), for locomotor (M = 5.54, SD = 2.01) and object control (M = 4.40, SD = 2.04) performances.
Participants were randomly assigned to either condition, intervention (12 children with and 23 without disabilities) or control (12 children with and 29 without disabilities) groups. After the randomization, three children without disabilities randomly assigned to the intervention group were unable to attend the intervention due to school schedule and were included in the control group. Therefore, 35 children (21 boys, 14 girls; Mage = 6.68, SD = 1.32) participated in the MMC Motor Skills Intervention, 12 children with disability (2 children with mild intellectual disability, 1 child with Down syndrome, 8 with mild cerebral palsy, and 1 with attention deficit and hyperactivity) and 13 children without disabilities. The control group was formed by 41 participants (22 boys, 19 girls; Mage=7.27, SD=1.50), 12 children with disabilities (1 child with mild intellectual disability, 4 children with Down syndrome, 2 with mild cerebral palsy, 3 with attention deficit and hyperactivity, and 2 with autism spectrum disorder).
The participants represented an underserved population exposed to severe poverty conditions; they lived in low-income neighborhoods with unsafe outdoor play environments. No other intervention services were being provided, including physical and/or occupational therapy. Therefore, all children had restricted opportunities for movement experiences and instruction. All children attended physical education classes two times per week for 45 minutes each session. Consent was obtained from each child custodial caregiver(s), and each child agreed to participate in the study. The university ethical committee approved the research.
Mastery motivational climate intervention design and implementation
Developmentally appropriated activities were designed and introduced in the lesson plans consistent with a mastery climate along the dimensions of the TARGET structure (Tasks, Authority, Recognition, Grouping, Evaluation, Time) (Valentini & Rudisill, 2004a; 2004b; Valentini, 2002; Valentini et al., 1999a; 1999b). All strategies focused on children’s autonomy and active participation in the learning process.
Tasks
This dimension involved the content and sequence of motor activities. Different levels of difficulty for each activity and a variety of tasks for each motor skill were provided to accommodate the wide range of ages and participants’ skill levels. In each session, new activities for each motor skill were included, and a great variety of equipment was used (Valentini & Rudisill, 2004a; 2004b; Valentini et al., 1999a; 1999b). Appropriate motor activities that challenged children in the motor skills level were implemented. The activities were greatly diversified, allowing children to choose different difficulty levels within each task, accommodating different motor skill levels. The tasks combined several fundamental motor skills and challenged children to problem-solving. A billboard was placed in the classroom with photos of people performing several motor skills (run, gallop, hop, leap, horizontal jump, slide, striking a stationary ball, stationary dribble, catch, kick, overhand throw, underhand roll), each picture was posted side-by-side with the verbal cues necessary to perform the skill (Valentini, 2002; 2004) to each motor skill.
Authority
This dimension involves promoting children’s empowerment experiences during learning. Opportunities were provided for the children to choose, set goals, and establish personal challenges. Children were given the opportunity to choose from the difficulty levels of a wide variety of motor tasks arranged in stations, selecting motor levels that were adequate for their levels of motor competence. A teacher and child process of cooperation was implemented regarding setting the (a) rules and responsibilities in class; (b) consequences for inappropriate behaviors; (c) activities; (d) personal goals for each session; (e) group and peer practices; and (f) engagement and social behaviors (Hellison, 2003; 2011; Valentini & Rudisill, 2004a; 2004b; Valentini et al., 1999a; 1999b). Moreover, children participated in the lesson planning by suggesting some stations that they enjoyed the most to be repeated on other days. A counseling time (teacher and child) was implemented to help the children actively engage in the learning process.
In addition, two strategies for fostering personal and social responsibility behaviors were used: “Awareness talk” and “Group meeting” (Hellison & Cutforth, 2000; Hellison, 2003; 2011). In the awareness strategy teacher used examples (e.g., using billboards, drawings, books, and child’s share experience) of behaviors adequate to a social acquaintance and prompted children to think about them and privately self-evaluate their behavior (Hellison, 2003; 2011). In a “Group meeting” strategy, children were given the opportunity to express their feelings about the session and their behaviors and evaluate group participation in the lesson (Hellison, 2003; Hellison & Cutforth, 2000; Hellison, 2011). At the end of the practice, the instructor read books to children, which approached contents regarding responsibility, respect, politeness (Moses & Gordon, 1998), health, cooperation, attention, and generosity (Llewellyn & Gordon, 2005).
Recognition
This dimension involves the acknowledgment of children’s efforts and improvements regarding motor development, decision-making, interaction, and cooperation. Verbal recognition by the teacher was provided daily and individually along with the motor practice through incentives and praise (Valentini & Rudisill, 2004a; 2004b; Valentini et al., 1999a; 1999b). Every week, during private counseling time, the teacher praises the children’s achievements. Letters acknowledging the children’s progress were sent to parents to involve them in the recognition process (Valentini & Rudisill, 2004a; 2004b; Valentini et al., 1999a; 1999b).
Grouping
This dimension involved guiding children to experiment with several groups. Children with and without disabilities worked together in small and large groups with the support of peer tutor. All children were free to choose partners to work with. The groups were organized with diverse sex, race, and motor skill level. The flexible grouping arrangements allow the children to acknowledge and respect differences and help each other (Valentini & Rudisill, 2004b; Valentini et al., 1999a).
Evaluation
Individual and daily feedback was provided by the teacher. The feedback was based on the learning process, responsibility, social interactions, afford, and achievements (Valentini & Rudisill, 2004a; 2004b; Valentini et al., 1999a; 1999b). During the group meetings, children were invited to evaluate personal and group participation in the lessons, indicated activities that they liked, disliked, and had more difficulties undertaking (Hellison & Cutforth, 2000; Hellison, 2003; 2011). Self-evaluation was held, using a protocol that portrays the behaviors’ descriptions to instigate dialogue and provide the time needed for reflection (Hellison, 2003; Hellison & Cutforth, 2000; Hellison, 2011). A billboard with children’s pictures performing the skills they mastered during intervention was used to help children recognize their progress.
Time
This dimension involves the time needed to learn new skills and the curriculum choices to achieve a goal (Valentini & Rudisill, 2004a; 2004b; Valentini et al., 1999a; 1999b). Time spent practicing each motor skill was based on the children’s initial motor performance level. The average time allocated to practice a specific skill across lessons was 56 minutes, ranging from 18 to 90 minutes. More time to practice was provided in the skills in which the children demonstrated significant delays. Along with the intervention, changes in the lesson’s plans were done when necessary to accommodate all levels of development.
The program consisted of 28 sessions, four sessions for the adaptation period (held to help children get comfortable with videotaping, tasks, instructor, and facilities), and 24 sessions of a motor skill intervention for 14 weeks. Each intervention session lasted 60 minutes and consisted of 7-min introductions that involved reviewing the motor skills to be practiced, rehearsal of the skills keywords, reinforcing the rules, and praising the accomplishment for socially responsible behaviors. The following 45 minutes consisted of instruction and practice of motor tasks in 8-9 stations (in each one, several levels of tasks and difficulties were provided), and children were encouraged to move to the playful activities presented in each station. The last 8 minutes consisted of the closure of the lesson that involved the teacher’s comments about the children’s engagement, and the use of several strategies to promote dialogue among all the children. The stations incorporated fundamental motor skills activities (run, gallop, hop, leap, horizontal jump, slide, striking a stationary ball, dribble, catch, kick, overhand throw, underhand roll, and balance), movement exploration through trial and error, goal-driven tasks, cooperative and self-competition games (Valentini & Rudisill, 2004a; 2004b). All the intervention sessions were held by an instructor with more than ten years of teaching physical education experience, helped by previously trained undergraduate student assistants. The assistants/children ratio remained approximately 1:4 during lessons.
Instruments and procedures
Motor development
The Test of Gross Motor Development –2nd edition (TGMD-2; Ulrich, 2000), validated for Brazilian children (Valentini, 2012), was used to assess the children. The TGMD-2 consists of two subscales, locomotor (run, gallop, hop, leap, horizontal jump, and slide) and object control (striking a stationary ball, stationary dribble, catch, kick, overhand throw, and underhand roll), and was designed to measure criterion elements of fundamental motor skill in children ages 3- to 10-years-old. The range of standard scores is 0-20 for both subscales. Participants were assessed at pre- and post-tests using TGMD-2, following the protocol in the test manual. The administration of the test took approximately 30 minutes per child, and all assessments were recorded. The child’s motor skill performance was scored from the video records. Two independent raters were responsible for scoring motor performances. The inter-rater reliability coefficients were adequate (locomotor: ICC = .87; object control: lCC = .84), results comparable to the reliability coefficients presented by test author (Ulrich, 2000).
Personal and social responsibility
A personal and social responsibility assessment was developed, based on the Teaching Personal and Social Responsibility Model (TPSR Model) proposed by Hellison (2003), to detect possible changes in children’s social behavior along with the mastery climate intervention. The model is organized into five developmental levels of responsibility (Irresponsibility, Respect, Participation, Self-direction, and Caring). A set of specific behaviors was incorporated into each personal and social responsibility level. Lessons were recorded, and fixed cameras were used in the room’s corners, covering all the physical space. The analysis was conducted based on the cumulative criterion (Hellison, 2003), in which a child needs to demonstrate consistent behaviors to encompass higher levels of social development (e.g., for a child to be evaluated at the “Self-direction” level, he/she needs to present two or more occurrences at the previous levels, “Respect” and “Participation”).
Regarding the first level, “Irresponsibility,” its presence (two or more occurrences) prevents the child from being evaluated at higher levels since these are socially unaccepted and antagonistic behaviors toward the higher socialization at the other levels. Nine intervention lessons were video recorded, three lessons at the beginning of the intervention (1st, 2nd, 3rd), three lessons in the middle (11th, 12th, and 13th), and three in the end of the intervention (21st, 22nd and 23rd). The selection of the intervention and consecutive sessions (e.g., (1st, 2nd and 3rd initial lessons) was adopted to observe the consistency of the behaviors of the children throughout the intervention period since reliability increases as more observations are used (Thomas et al., 2012). Children’s behaviors were coded independently by two trained master students using the video records. The inter-rater reliability coefficient was high (ICC = .99). A software, created for the study, was used to manually register the occurrences of children’s behaviors from the video records. Table 1 provides the full description of behaviors in each developmental level. The frequency counting method involves scoring each time a certain behavior occurs within 60 minutes of the session (Thomas et al., 2012), which was obtained from the video records.
Table 1. Description of the personal and social responsibility behaviors
|
Irresponsibility level • Refuse to participate. The child does not participate in the activities: He/she sits down, crosses his/her arms, and stands still. He/she justifies or not the reason why he/she does not want to participate. The child does an activity other than that proposed in the station • Blame others. When asked about some event, the child does not assume responsibility for his/her acts, and sometimes he/she may blame another child. He/she does not help organize the station equipment, even when the teacher asks • Tease others. The child laughs, imitates, and/or points at the classmate that fails to perform the activity. He/she may also tease another child for some behavior that seemed funny to him/her or still brag about himself/herself • Abuse verbally or physically. The child says hurtful words or comments to the other children. He/she intentionally throws/kicks objects too hard toward other children; pushes, kicks, slaps other children or takes the children’s equipment forcedly • Interrupts the class. The child disturbs the class by making too much noise, questions, or comments out of context and disorganizing the station equipment. He/she throws/kicks objects, not attempting to hit another child, but the behavior may still impair the other child’s movement performance • Refuse to share the equipment. The child does not share equipment and does not allow the other child to take the equipment; she/he entitles herself/himself to the owner or hides it |
|
Respect level • Respect others’ rights. The child respects the order to talk in the moment of dialogue and take turns in the activity. He/she shares and organizes the station equipment and respects the other child’s right to fail in attempting to perform the activity • Respect others’ feelings. The child respects others’ feelings and does not tease or make fun of a child who failed to perform the activity adequately • Self-control. The child can control his/her temperament by avoiding aggression or conflicts with other children and control the behavior to not hit back in response to destructive behaviors of others. He/she ask questions or provided comments within the lesson’s content but waits for his/her turn to speak |
|
Participation level • Participate in the activities. The child participates actively in the motor activities, demonstrating effort and motivation when performing the activities. He/she participates in the dialogues, exposing his/her opinions and thoughts • Accept challenges. The child accepts changing the activity levels to more complex levels according to his/her perceived skill. He/she can also accept changing the activities trying new ways of performing the same activity (e.g., static balance: changing the feet and hands positions on the ground) • Demonstrate interest in learning and improving. The child calls the teacher to observe him/her performing the movement and then correct or compliment. He/she may also question whether the way he/she is performing the movement is correct or constantly use the verbal cues of the skills |
|
Self-direction level • Assume responsibilities. The child assumes responsibility for his/her behaviors and behaviors. Little responsibilities such as organizing the station equipment without the teacher’s interference can also be observed. The child plans and chooses the difficulty levels of the activities that he/she will work with during each class and, when necessary, reflects on his/her choices and re-plans his/her daily work plan • Work autonomously. The child works independently, without the teacher’s direct supervision. The teacher’s role is to correct and guide, near the child or not, the motor skill performance. When necessary, the child creates proper rules to develop the activity |
|
Care level • Take care of the others. The child helps his/her classmate perform an activity or a movement by through verbal cues or physical contact. He/she may also help by providing cues to solve a problem or perform a movement. He/she takes care of the other child, so he/she will not get hurt during the activities • Cooperate. The child cooperates without being asked by the teacher or the classmate. He/she can collaborate by suggesting, for example, locomotor activities to move across the stations, use and share the station equipment, and take care of coats and backpacks • Take self-care. The child takes care of himself/herself when observing the activity and perceives how to perform it more safely, avoiding potential sores |
Mastery climate fidelity
All the 28 sessions (adaptation period and motor skill intervention) were video recorded entirely to ensure the fidelity of the intervention climate, the MMC. Like previous studies (Berleze & Valentini, 2021; 2022; Valentini at al., 2017; Valentini & Rudisill, 2004a), independent raters were trained in the MMC paradigm and strategies. Along with the intervention, the independent raters randomly assessed six lessons using a checklist with expected strategies and teacher behavior, and the TARGET structure aligned with the MMC. Items on the checklist assessed the climate daily delivered by the teacher in the lessons regarding (a) the variety, levels of challenge and novelty of the tasks as well as the use of verbal cues; (b) the strategies used to empowered children experience and autonomy; (c) the private recognition of children afford and accomplishments; (d) the organization of groups; (e) the strategies used to provide children with meaningful experience of self-evaluation; and (g) the distribution of the time in the range of diversity skills and activities.
Data analyses
For motor development, two independents general linear models with repeated measures on the time factor (pre-test, post-test) were used to analyze the effect of motor skill intervention on locomotor and object control scores for children with disabilities (intervention x control groups) and without disabilities (intervention x control groups). The Wilks´lambda (Λ) criterion was adopted in the analyses of interaction. Follow-up tests, restricted to the study hypothesis, were used for the significant interactions. For the personal and social responsibility, frequencies of the behaviors were recorded for each child along with nine sessions, and a total score was computed for each period (initial, intermediate, and final); Chi2 tests, with Wilcoxon post-hoc tests, were conducted to analyze the intervention impact. Spearman correlations were used to analyze the association between motor skills scores and the levels of personal and social responsibility (participating in the activities, accepting challenges, interest in learning, and improving). Manipulation checklists frequencies were recorded to determine the intervention climate fidelity, and the percentage of the agreement was used in this data.
Results
Mastery climate fidelity
The reliability results for the intervention fidelity were high. For the task dimension, 97% agreement among raters confirmed that variety, levels of challenge, novelty, and verbal cues were provided during the intervention period. For the authority dimension, 90% agreement among raters confirmed that the teacher effectively guided children to participate in decision-making and provided opportunities for autonomy. For the recognition dimension, 95% agreement among raters confirmed that the teacher privately recognizes children affords and accomplishments. Regarding the grouping dimension, 98% of the agreement among raters confirmed that the teacher provided opportunities for children effectively work in diverse groups along with the intervention. Regarding the evaluation dimension, 95% of the agreement among raters confirmed that teacher strategies provide children with opportunities for self-evaluation during the intervention. Regarding the time dimension, 96% of the agreement among raters confirmed that the time distribution effectively covered diverse skills and activities.
Locomotor development
A significant groups x time interaction, Λ = 0.82, F (3,72) = 5.38, p ≤ 0.001, η2 = 0.18, power = 0.92, was found for locomotor performance. The effect size associated with the significant interaction was moderate, 18% of the variance associated with locomotor scores can be attributed to the intervention impact over time. Time (Λ = 0.89, F (1,72) = 8.85, p ≤ 0.001, η2 = 0.11, power = 0.83) and group (F (1,72) = 18.23, p ≤ 0.001, η2 = 0.43, power = 1.00) main effects were also found.
Regarding time, post-hoc tests showed significant increases in scores from pre- to post-test for the intervention with disabilities (p ≤ 0.001) and intervention without disabilities (p ≤ 0.001) groups. No significant changes from pre- to post-test were found for the control group with disabilities (p = 1.00), and a decline in motor performance was found for control without disabilities group (p = 0.03).
Regarding groups, the post-hoc tests showed no significant difference between the intervention with disabilities (M = 2.50, SD = 2.07), and the control with disabilities (control with disabilities: M = 2.25, SD = 1.76) groups at pre-test (p = 0.75). However, at the post-test the intervention with disabilities group (M =4.00, SD = 2.26) demonstrated higher scores (p = 0.05) compared with the control with disabilities group (M = 2.25, SD = 1.76). Furthermore, at the pre-test there was no significant difference (p = 0.20), between the intervention without disabilities (M = 5.13, SD = 2.07) and the control without disabilities (M = 5.86, SD = 1.94) groups; at the pos-test the intervention without disabilities group (M = 6.87, SD = 1.91) demonstrated significant higher scores (p ≤ 0.001) compared with the control without disabilities group (M = 5.27, SD = 1.56). Graphic 1 present the locomotor scores by groups from pre- to post-tests.
Graphic 1. Locomotor scores by groups from pre- to post-test

Object control development
A significant groups x time interaction, Λ = 0.61, F (3,72) = 14.92, p ≤ 0.001, η2 = 0.38, power = 1.00, was found for object control performance. The effect size associated with the significant interaction was strong; 38% of the variance associated with object control scores can be attributed to the intervention impact over time. Time (Λ = 0.83, F (1,72) = 14.24, p ≤ 0.001, η2 = 0.16, power = 0.96) and group (F (1,72) = 14.22, p ≤ 0.001, η2 = 0.83, power = 1.00) main effects were also found.
Regarding time, post-hoc tests showed significant increases in scores from pre- to post-test for the Intervention with disabilities (p = 0.04) and intervention without disabilities (p ≤ 0.001) groups. No significant changes from pre-test to post-test were found for the control group with disabilities (p = 0.34) and control without disabilities group (p = 0.13).
Regarding groups, the post-hoc tests showed significant higher scores for intervention with disabilities at pre-test, p = 0.04 (M = 3.25, SD = 2.30) and post-test, p ≤ 0.001 (M = 4.58, SD = 1.88) compared to the control with disabilities (pre-test: M = 1.67, SD = 1.07; post-test: M = 1.50, SD = 0.80). Furthermore, at the pre-test there was no significant difference between the intervention without disabilities (M = 4.04, SD = 2.20) and the control without disabilities (M = 4.69, SD=1.89) groups (p = 0.26); at the pos-test the intervention without disabilities group (M=6.35, SD=1.77) demonstrated significant higher scores (p ≤ 0.001) compared with the control without disabilities group (M = 4.14, SD = 1.86). Graphic 2 present the object control scores by groups from pre- to post-tests.
Graphic 2. Object control scores by groups from pre- to post-test

Personal and social responsibility development
Descriptive analysis indicates that personal and social responsibility levels increased from sessions 1 to 11. From session 12 to session 23, stability in the frequencies was observed. From the initial to the final sessions, especially in session 23, the variability of the behaviors decreased with time. The result indicated significant increases along with the intervention in children’s personal and social responsibility, χ2 = 81.21, p ≤ 0.001. The post-hoc test revealed significant changes from the initial to the intermediate sessions, from the initial to the final sessions, and from one intermediate (number 11) to the final sessions. Higher levels of personal and social responsibility were observed from the initial to intermediate sessions period, and these changes stabilized at higher levels from session 11 to the final sessions, confirming the hypotheses of the present study.
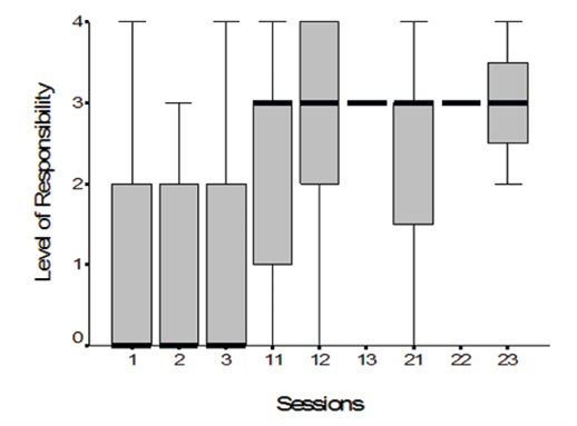
A closer look at the pattern of change for children with and without disabilities showed that the personal and social responsibility medians for children with disabilities increased from sessions 1 to 11. Results showed that for children with and without disabilities, the same median of 3.00 was maintained from session 12 to session 23. Variability also decreases over time, specifically in sessions 13, 22, and 23 for children with disabilities; and in sessions 22 and 23 for children without disabilities. Graphic 3 shows the medians and variance at the 25th and 75th percentile along with the intervention period for children with disabilities.
Graphic 3. Medians and variance along with the intervention for children with disabilities

A similar result was observed for children without disabilities from sessions 1 to 11. Graphic 4 shows the medians and variance at the 25th and 75th percentile along the intervention period for children without disabilities.
Graphic 4. Medians and variance along with the intervention for children without disabilities

Significant increases in changes in frequencies of personal and social responsibility were found along with the intervention period for children with disabilities (χ2 = 34.61, p ≤ 0.001) and without disabilities (χ2= 51.45, p ≤ 0.001). The post hoc test revealed that significant increases were observed from initial to intermediate sessions and from initial to final sessions. Children with and without disabilities changed from initial behaviors of non-participation to actively participating in the activities and from respecting others to evident interest in learning and practice with autonomy in the intermediate and final sessions. Both groups demonstrated positive and significant changes from the initial to intermediate sessions, and these changes stabilized at higher personal and social responsibility levels from session 11 to the end of the intervention. Table 2 presents the frequencies of personal and social responsibility behaviors on the five levels of social development for children with and without disabilities.
Table 2. Frequencies of personal and social responsibility from all children
|
Levels of personal and social responsibility |
Frequencies |
|||||
|
Children with disabilities |
Children without disabilities |
|||||
|
Initial |
Intermediate |
Final |
Initial |
Intermediate |
Final |
|
|
Irresponsibility level |
||||||
|
Refuse to participate |
305 |
32 |
30 |
163 |
144 |
90 |
|
Blame the others |
0 |
0 |
3 |
2 |
6 |
0 |
|
Tease others |
4 |
0 |
0 |
18 |
9 |
2 |
|
Abuse verbally or physically |
10 |
0 |
4 |
30 |
16 |
15 |
|
Interrupts in the class |
51 |
4 |
13 |
145 |
123 |
108 |
|
Refuse to share the equipment |
1 |
0 |
0 |
1 |
6 |
2 |
|
Respect level |
||||||
|
Respect the others’ rights |
306 |
497 |
569 |
853 |
1118 |
1299 |
|
Respect the others’ feelings |
0 |
0 |
0 |
0 |
0 |
0 |
|
Self-control |
8 |
30 |
22 |
54 |
42 |
46 |
|
Participation level |
||||||
|
Participate in the activities |
1041 |
1463 |
1452 |
2576 |
3298 |
3716 |
|
Accept challenges |
15 |
87 |
28 |
206 |
562 |
527 |
|
Demonstrate interest in learning and improving |
131 |
284 |
238 |
571 |
744 |
751 |
|
Self-direction level |
||||||
|
Assume responsibilities |
0 |
42 |
134 |
25 |
110 |
281 |
|
Work autonomously |
70 |
223 |
429 |
462 |
512 |
822 |
|
Care level |
||||||
|
Take care of the others |
2 |
26 |
12 |
21 |
67 |
53 |
|
Cooperate |
14 |
26 |
25 |
19 |
41 |
103 |
|
Take self-care |
0 |
0 |
0 |
0 |
0 |
0 |
Motor and personal and social responsibility associations
The results of the Spearman correlations showed that participating in the activities (r = 0.72, p ≤ 0.001), accepting challenges (r = 0.77, p ≤ 0.001), and interest in learning and improving (r = 0.51, p = 0.003) were positively, strongly, and significantly correlated with motor performance at the post-test.
Discussion
In the intervention group, children with and without disabilities demonstrated significant gains in locomotor and object control scores from pre-test to post-intervention, higher scores at the post-tests, and the pattern of the changes was similar for children with and without disabilities, confirming our hypotheses; overall, no changes were observed for the control groups. A similar trend was reported in previous studies implementing traditional (Goodway & Branta, 2003; Goodway et al., 2003) and mastery climate (Berleze & Valentini, 2021; 2022; Goodway et al., 2002; Nobre et al., 2022; Theeboom et al., 1995; Valentini & Rudisill, 2004a) approaches for children with delays. The motor skills results are also aligned with previous research on children with disability (Valentini & Rudisill, 2004b). The results showed the challenging environment with various challenging tasks that accommodate the children’s range of age and skills levels, a planned recognition of achievements, and afford the system and activities that promote children’s autonomy promote equal opportunities to children acquiring new skills. The respect for the personal pace to learn skills, with diverse groups working in cooperation, also contributes to performance improvements. The program also reinforced an effort-based problem solving and self-reward system that resulted in a positive learning approach for the children with and without disabilities.
Children with and without disabilities also demonstrated positive and significant changes in social skills in the learning context, by adopting more responsible behaviors along with the intervention. These results are like previous research that emphasized the importance of an appropriate learning environment to develop the skills necessary to interact with others (Bibby et al., 2002; Guaragna et al., 2005; Monteiro et al., 2008; Sayers et al., 2002; Wright et al., 2004). Besides, children with disabilities showed positive and significant changes like their peers without disabilities; they showed increases in more complex social behaviors from initial to intermediated sessions. In the climate implemented -the MMC- foster decision-making experience and guided the children to assume more responsibilities for their actions. Some children even demonstrate caring behaviors, deciding to help and cooperate with their peers. Adopting mutual help behaviors might have driven children to develop more independence in the learning process (Hellison, 2011) since from the beginning to the end of the intervention children’s autonomy was enhanced.
The unique features of the MM foster children’s autonomy and empower children to make decisions, self-evaluate their behavior and performance, and solve problems (Almeida & Pick, 2018; Valentini et al., 1999a; 1999b), helping children to learn to be self-controlled and respect the others. Self-control and respect for others are recognized as the onset of social responsibility development (Guaragna et al., 2005; Hellison, 2011; Monteiro et al., 2008). These strategies contributed to establishing a positive and nurturing learning climate within its core, promoting respect, participation, accepting challenges, and interest in learning daily. Children also progressively assumed self-direction, caring for themself and others, assuming responsibilities, participating autonomously, cooperating, and helping their peers. With the cooperative protocol of practices established (i.e., take care and share of the equipment; wait for one’s turn; help others; restrained unfriendly behaviors; avoid disregard or tease others for unsuccessful actions; avoid make fun of others and verbally or physical aggression; interfere during the instruction), the teacher had more time to provide instruction for children needing more significant assistance, deal with learning, and foster social integration strategies (Graham, 2005) to all children, especially those in more need, instead of dealing with conflict behavior.
It is essential to highlight that even the children who demonstrated lower social development levels during the intervention at the beginning showed decreases in the frequency of those behaviors, and adopted, in several moments, higher levels of responsibility; the decrease in behavior variance showed this tendency. Even for some children that at the beginning of the intervention lacked understanding of their needs of intervention, had no parameters for evaluating personal behaviors, showed difficulties in effectively engaging in tasks they did not interest, inhibited these undesirable behaviors, and gradually showed interest in learning and improving motor skill and social interactions. These factors, combined with the teacher’s need to prompt children with disabilities to start and maintain the engagement in the activities observed along with the lessons, also contributed to the variance of social behaviors across sessions. The variability in the levels of social behaviors demonstrated by children can also be accounted for by the fact that social development (Bandura, 1986; Hellison 2003; 2011), like motor (Newell, 1986; Thelen & Ulrich, 1991) and cognitive (Vygotsky, 1978; Bronfenbrenner, 1979) developments, do not necessarily occur in a linear progression from one level to another.
Although non-linear, the social changes observed were meaningful and resulted from the intervention strategies. The intervention climate provided children with opportunities to become more conscious about the norms cooperatively established, empowering children’s behaviors (Compagnone, 1995). Previous research conducted in sports settings also suggested that providing children with opportunities to reflect on adopting more responsible behaviors was essential to social development (Guaragna et al., 2005; Hellison, 2003; Hellison, 2011; Hellison & Templin, 1991; Monteiro et al., 2008), increases fellowship and respect (Hastie & Buchanan, 2000; DeBusk & Hellison, 1989), cooperativeness, teamwork, and communication (Jenkins, 2004) among children and youth.
It is also vital to notice that as children became more engaged in motor activities and accepted the challenges, they became more aware of the need to learn and improve their motor performance. Appropriated learning climates allow all children to recognize and respect individual differences, self-express their concerns, and socially interact (Valentini & Rudisill, 2004a; 2004b), experiences that are crucial for children with disabilities to develop more complex social skills (Rimmer & Kelly, 1989; Valentini & Rudisill, 2004b). Besides, the MMC allows children to demonstrate their accomplishments leading to social and personal benefits.
Conclusions
The motor learning environment is rich in social experiences, allowing children to socially interact and understand others’ points of view, promoting fellowship among them. The motor learning climate implemented made it possible to observe children with and without disabilities, with different skill levels, participating actively in the motor tasks in the lessons. It also guided all children to demonstrate socially accepted behaviors such as autonomous work, mutual help, interest in learning, and decreased behaviors such as lack of engagement and dependence on others to engage in the activities. The activities implemented challenge all the children, helping them explore the environment and experience favorable social interactions with each other. Children respond to the challenge of becoming more skillful, respecting others, and becoming more engaged in the learning process was a direct consequence of the climate implemented.
References
Almeida, F.D. & Pick, R. K. (2018). Implementation of the teaching personal and social responsibility model through physical activity: A pilot study. The FIEP Bulletin, vol. 88, no.1, pp. 356-359. https://doi:10.16887/88.a1.86
Auxter, D., Pyfer, J. & Huettig, C. (2004). Principles and methods of adapted physical education and recreation (10th ed.). McGraw-Hill Higher Education.
Bandura, A. (1986). Social foundations of thought and action. Prentice-Hall.
Berleze, A. & Valentini N. C. (2022). Intervention for children with obesity and overweight and motor delays from low-income families: Fostering engagement, motor development, self-perceptions, and playtime. International Journal of Environmental Research and Public Health, vol. 19, no. 5, pp. 2545. https://doi.org/10.3390/ijerph19052545
Berleze, A. & Valentini, N. C. (2021). The motor intervention effectiveness on children daily routine, motor, health, and psychosocial parameters. Journal of Physical Education, vol. 32, no. 1, e-3272. https://doi.org/10.4025/jphyseduc.v32i1.3272
Bibby, P., Eikeseth, S., Martin, N. T., Mudford, O. C. & Reeves, D. (2002). Progress and outcomes for children with autism receiving parent-managed intensive interventions. Research in Developmental Disabilities, vol. 23, no.1, pp. 81-104. https://doi.org/10.1016/S0891-4222(02)00095-1
Brauner, L. M., Valentini, N.C. & Santayana de Souza, M. (2017). Youth Sports Program influences children’s perceived competence?” Psico-USF, vol. 22, no. 3, pp. 527-539. https://doi.org/10.1590/1413-82712017220312
Bronfenbrenner, U. (1979). The ecology of human development. Harvard University Press.
Buchanan, A. M. (2001). Contextual challenges to teaching responsibility in a sport camp. Journal of Teaching in Physical Education, vol. 20, no 2, pp. 155-171. https://doi.org/10.1123/jtpe.20.2.155
Compagnone, N. (1995). Teaching responsibility to rural elementary youth: Going beyond the urban at-risk boundaries. Journal Physical Education, Recreation, and Dance, vol. 66, no. 6, pp. 58-63. https://doi.org/10.1080/07303084.1995.10607100
DeBusk, M. & Hellison, D. (1989). Implementing a physical education self-responsibility model for delinquency-prone youth. Journal of Teaching in Physical Education, vol. 8, no.2, pp. 104-112. https://doi.org/10.1123/jtpe.8.2.104
Goodway, J. D. & Branta, C. F. (2003). Influence of a motor skill intervention on fundamental motor skill development of disadvantaged preschool children. Research Quarterly for Exercise and Sport, vol. 74, no. 1, pp. 36-46. https://doi.org/10.1080/02701367.2003.10609062
Goodway, J. D., Crowe, H., & Ward, P. (2003). Effects of motor instruction on fundamental motor skill development. Adapted Physical Activity Quarterly, vol. 20, no. 3, pp.298-314. https://doi.org/10.1123/apaq.20.3.298
Goodway, J. D., Rudisill, M. E. & Valentini, N. C. (2002). The influence of instruction on catching: A developmental approach. Motor Development: Research & Reviews, book-volume 2.
Graham, G. (2005). Teaching children physical education: Becoming a master teacher. Human Kinetics.
Guaragna, M., Pick, R. K. & Valentini, N. C. (2005). Percepções de pais e professores da incluência de uma programa motor inclusivo no comportamento social de crianças portadoras e não portadoras de necessidades especiais. Movimento, vol. 11, no. 1, pp. 89-117. https://www.redalyc.org/pdf/1153/115315992006.pdf
Hastie, P. A. & Buchanan, A. M. (2000). Teaching responsibility through sport education: Prospects of a coalition. Research Quarterly for Exercise and Sport, vol. 71, no. 1, pp. 25-35. https://doi.org/10.1080/02701367.2000.10608877
Hellison, D. (2011). Teaching personal and social responsibility through physical activity (3rd ed.). Human Kinetics.
Hellison, D. (2003). Teaching responsibility through physical activity (2nd ed.). Human Kinetics.
Hellison, D. (1990). A Chicago story- Physical education for disadvantaged youth. Journal Physical Education, Recreation, and Dance, vol. 61, no. 6, pp. 36-37. https://doi.org/10.1080/07303084.1990.10604546
Hellison, D. & Cutforth, N. (Eds.) (2000). Youth development and physical activity: Linking universities and communities. Human Kinetics.
Hellison, D. & Templin, T. J. (1991). A reflective approach to teaching physical education. Human Kinetics.
Hellison, D. & Walsh, D. (2002). Responsibility-based youth programs evaluation: Investigating the investigations. Quest, vol. 54, no. 4, pp. 292-307. https://doi.org/10.1080/00336297.2002.10491780
Hellison, D. & Wright, P. (2003). Retention in an urban extended day program: A process-based assessment. Journal of Teaching in Physical Education, vol. 22, no. 4, pp. 369-381. https://doi.org/10.1123/jtpe.22.4.369
Jenkins, J. M. (2004). Student-led play days: Incorporating student assessment. Strategies, vol. 17, no. 3, pp. 15-20. https://doi.org/10.1080/08924562.2004.10591080
Karagiannis, A., Stainback, W. & Stainback, S. (1996). Rationale for inclusive schooling. In S. Stainback & W. Stainback (Eds.). Inclusion: A guide for educators (pp. 21-34). Paul H. Brookes.
Kirk, S., Gallagher, J., Anastasion, N. & Coleman, M. (2006). Educating exceptional children (11th ed.). Houghton Miffilin.
Kunh, D. E., Matson, J. L., Mayville, E. A. & Matson, M. L. (2001). The relationship of social skills as measured by the MESSIER to rumination in persons with profound mental retardation. Research in Developmental Disabilities, vol. 22, no. 6, pp. 503-510. https://doi.org/10.1016/S0891-4222(01)00086-5
Li, W., Wright, P. M., Rukavina, P. B. & Pickering, M. (2008). Measuring students’ perceptions of personal and social responsibility and the relationship to intrinsic motivation in urban physical education. Journal of Teaching in Physical Education, vol. 27, no. 2, pp. 167-178. https://doi.org/10.1123/jtpe.27.2.167
Llewellyn, C. & Gordon, M. (2005). Why should I listen? Barron”s Educational series.
Monteiro, T. R., Pick, R. K. & Valentini, N. C. (2008). A responsabilidade social e pessoal de crianças participantes de um programa de intervenção motora inclusiva. Temas sobre Desenvolvimento, vol. 16, no. 94, pp.10-20.
Moses, B. & Gordon, M. (1998). “Excuse me”. Learning about politeness. Hodder Wayland.
Newell, K. (1986). Constraints on the development of coordination. In M. G.Wade & H. T. Whiting (Eds.). Motor development in children: Aspects of coordination and control (pp. 341-360). Nijhof.
Nobre, G. C., Nobre, F. S. S. & Valentini, N. C. (2022). Effectiveness of a mastery climate cognitive-motor skills school-based intervention in children living in poverty: Motor and academic performance, self-perceptions, and BMI. Physical Education and Sport Pedagogy. https://doi.org/10.1080/17408989.2022.2054972
Píffero, C. M. & Valentini, N.C. (2010). Habilidades especializadas do tênis: Um estudo de intervenção participação esportiva com crianças escolares. Revista Brasileira de Educação Física e Esporte, vol. 24, no. 2, pp. 149-163. https://doi.org/10.1590/S1807-55092010000200001
Rimmer, J. H. & Kelly, L. E. (1989). Gross motor development in preschool children with learning disabilities. Adapted Physical Activity Quarterly, vol. 6, no. 3, pp. 268-279. https://doi:10.1123/apaq.6.3.268
Sampaio, D. F. & Valentini, N.C. (2015). Gymnastics rhythmic’ youth sport: Traditional approach and mastery motivational climate approach. Journal of Physical Education, vol. 26, no. 1, pp. 1-10. https://doi.org/10.4025/reveducfis.v26i1.22382
Sayers, L. K., Cowden, J. E. & Sherrill, C. (2002). Parent’s perceptions of motor interventions for infants and toddlers with down syndrome. Adapted Physical Activity Quarterly, vol. 19, no. 2, pp. 199-219. https://10.1123/apaq.19.2.199
Sherrill, C. (2004). Adapted physical activity, recreation and sport: Cross disciplinary and lifespan (6th ed.). McGraw-Hill Higher Education.
Theeboom, M., De Knop, P. D. & Weiss, M. R. (1995). Motivational climate, psychological responses, and motor skill development in children’s sport: A field-based intervention study. Journal of Sport Psychology, vol. 17, no. 3, pp. 294-311. https://doi.org/10.1123/jsep.17.3.294
Thelen, E. & Ulrich, B. (1991). Hidden skills. Monographs of the society for research in child development, vol. 56 (serial No. 233).
Thomas, J. R., Nelson, J. K. & Silverman, S. J. (2012). Métodos de pesquisa em atividade física (6 ed.). Artmed.
Ulrich, D. (2000). The test of gross motor development (2nd ed.). Prod-ed.
Valentini, N. C. (2012). Validity and reliability of the TGMD-2 for Brazilian children. Journal of Motor Behavior, vol. 44, no. 4, pp. 275-280. https://doi.org/10.1080/00222895.2012.700967
Valentini, N. C. (2004). Visual cues, verbal cues and child development. Strategies, vol. 17, no. 3, pp. 21-23. https://doi.org/10.1080/08924562.2004.10591081
Valentini, N. C. (2002). The influence of a motor skill intervention on the motor performance and perceived competence of children with motor delays. Paulista Journal of Physical Education, vol 16, no. 1, pp. 61-75. https://doi.org/10.11606/issn.2594-5904.rpef.2002.138698
Valentini, N. C., Pierosan, L., Rudisill, M. E. & Hastie, P. A. (2017). Mastery and exercise play interventions: Motor skill development and verbal recall of children with and without disabilities. Physical Education and Sport Pedagogy, vol. 22, no. 4, pp. 349-363. https://doi.org/10.1080/17408989.2016.1241223
Valentini, N. C. & Rudisill, M. E. (2004a). Motivational climate, motor-skill development, and perceived competence: Two studies of developmentally delayed kindergarten children. Journal of Teaching in Physical Education, vol. 23, no. 3, pp. 216-234. https://doi.org/10.1123/jtpe.23.3.216
Valentini, N. C. & Rudisill, M. E. (2004b). Effectiveness of an inclusive mastery climate intervention on the motor skill development of children. Adapted Physical Activity Quarterly, vol. 21, no. 4, pp. 330-347. https://doi.org/10.1123/apaq.21.4.330
Valentini, N. C., Rudisill, M. E. & Goodway, J. D. (1999a). Incorporating a mastery climate into physical education: It’s developmentally appropriate! Journal Physical Education, Recreation, and Dance, vol. 70, no. 7, pp. 28-32. https://doi.org/10.1080/07303084.1999.10605683
Valentini, N. C., Rudisill, M. E. & Goodway, J. D. (1999b). Mastery climate: Children in charge of their own learning. Teaching Elementary Physical Education, vol. 10, pp. 6-10.
Vygotsky, L. S. (1978). Mind in society: the development of higher psychological processes. Harvard University Press.
Walsh, D. (2006). Best practice in university-community partnership: Lessons learned from a physical-activity-based program. Journal of Physical Education Recreation and Dance, vol. 77, no. 4, pp. 45-56. https://doi.org/10.1080/07303084.2006.10597863
Wright, P. M & Craig M., W. (2011). Tool for Assessing Responsibility-Based Education (TARE): Instrument development, content validity, and inter-rater reliability. Measurement in Physical Education and Exercise Science, vol. 15, no. 3, pp. 204-219. http://dx.doi.org/10.1080/1091367X.2011.590084
Wright, P. M. & Burton, S. (2008). Implementation and outcomes of a responsibility-based physical education activity program integrated into an intact high school physical education class. Journal of Teaching in Physical Education, vol. 27, no. 2, pp. 138-154. https://doi.org/10.1123/jtpe.27.2.138
Wright, P., M., White, K. & Gaebler-Spira, D. (2004). Exploring the relevance of the personal and social responsibility model in adapted physical activity: A collective case study. Journal of Teaching in Physical Education, vol. 23, no. 1, pp. 71-87. https://doi.org/10.1123/jtpe.23.1.71
Zanella, L. W., Santayana de Sousa, M. S., Bandeira, P. F. R., Nobre, G. C. & Valentini, N. C. (2016). Overweight and obesity: Motor intervention and influences on motor behavior. Motricidade, vol. 12, no. 1, pp. 42–53. http://dx.doi.org/10.6063/motricidade.8482